电话:13570151199
彩运cy888传真:020-39972520
邮箱:hanyan@hanyancarbon.com
地址:广东省广州市番禺区东环街番禺大道北555号天安总部中心30号楼6层
活性炭对砷化氢吸附改善作用
砷化氢(AsH3)的工业来源主要来源于磷、煤、有色金属冶炼、石油加工和炼油等行业。是一种一种污染物,在羰基转化和吸附剂合成过程中会引起吸附剂污染。传统吸附剂在工业低温操作条件下对砷化氢的去除效果低于预期。在这项研究中,使用铜用于改性活性炭并通过低温焙烧生产新型吸附剂,来增强去除砷化氢的效果。
低温焙烧铜改性活性炭
彩运cy888 使用四种不同的铜前体Cu(NO3)2、CuCl2、Cu(C2H4O2)2和CuSO4用于活性炭的改性。所有吸附剂均采用低温焙烧法制备。以Cu(NO3)2-改性活性炭为例,首先,将活性炭研磨,然后用去离子水洗涤并在80℃下干燥4小时。将颗粒过40-60目筛分后,用2.0mol/L的Cu(NO3)2浸渍2.0g活性炭10mL的溶液。接下来,将混合物在室温下搅拌后静置24小时,然后在烤箱中低温烘烤5小时(80、120、150和180℃)。之后,将样品冷却至环境温度并通过40-60目筛分。Cu含量从1到3mol/L不等,其中wt%表示质量百分比。冷却后,得到CuO改性的活性炭吸附剂。由不同前体制备的样品分别定义为Cu(NO3)2活性炭、Cu(C2H4O2)2活性炭、CuCl2活性炭和CuSO4活性炭。
砷化氢突破性动态测试
实验装置的方案在图1提供。将气流以200mL/分钟的气体流速引入混合器中。该气体由稀释在O2(0-1.2%)中的AsH3(200ppm)组成。然后预混合气体进入填充有0.2g活性炭吸附柱的固定床。设置两个采样口:一个用于进口气体,一个用于出口处理后的残余尾气。废气经酸性KMnO4处理。在这项研究中,AsH3去除效率和吸附容量用于评估活性炭的砷吸附能力。所有实验重复3次,计算标准差和平均值。

彩运cy888 图1:实验装置示意图。
反应条件对活性炭上AsH3吸附的影响
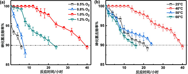
测试了微氧和低温实际工业条件下活性炭的吸附性能。如图2a所示,AsH3的去除效率随着氧含量(0.5、0.8、1和1.2%)的增加而增加。氧含量为0.5和0.8%时记录的去除效率低于8小时后记录的90%。相比之下,1%的氧含量显着增加。然而,氧含量进一步上升至1.2%会降低性能,因为过多的氧会与AsH3竞争吸附。因此,选择1.0%的氧含量为最佳并用于进一步反应。铜改性活性炭的低温吸附性能在25、40、50和60℃下进行了验证,结果如图2b所示。在25℃时,AsH3的初始去除效率低,但在40℃时有所改善。这可能是由于吸附剂的活化温度。然而,温度进一步升高至50和60℃会导致去除效率下降,从而产生与25℃下获得的值大致相同的值。因此,选择40℃作为最佳反应温度以产生合适的吸附剂。在此条件下吸附容量是其他含铜吸附剂的10倍。上述结果证明铜改性活性炭在工业微氧和低温条件下具有优异的除砷能力。

图2:氧含量(a)和反应温度(b)对AsH3去除效率的影响。
铜改性活性炭的再生
彩运cy888 铜改性活性炭通过水洗和吹扫气体法进行再生。为此,活性炭样品首先在100℃的热空气中活化3小时。然后用去离子水浸泡清洗4-5次,放入电热风烘箱中110-120℃烘干。之后,将样品置于氮气气氛下的管式炉中,并使用程序升温控制器升高温度。考虑到通过在180℃下烘烤获得的材料,温度首先设定在20-180℃。之后,停止加热,将样品冷却至室温。取出样品,停止氮气流,对再生材料进行测试。如图3a所示,R的再生效率(R为再生吸附剂与新鲜吸附剂的穿透时间之比)在一个再生循环后为65%。在第二次再生循环后,样品恢复效率R达到60%,证实了活性炭吸附剂对去除AsH3具有合理的再生能力。为了确定活性炭吸附剂再生后表面相的变化,通过XRD分析活性炭吸附剂。如图3b所示,再生后活性炭-R1中35.6°、38.8°和61.8°的CuO衍射峰强度明显增加,但没有Cu2(NO3)峰被找到。这表明在再生过程中回收的一些CuO物种可能被中间体Cu2(NO3)(OH)3转化。此外,活性炭-R1样品中As2O3在28.0°、32.2°、35.5°、42.6°、46.4°、55.0°和59.6°处的结晶峰明显减弱。推测中间体Cu2(NO3)(OH)3向吸附活性中心CuO的转变和结晶As2O3的分离可能是活性炭吸附剂再生性能好的原因。

图3:(a)铜改性活性炭的再生性能,(b)四款铜改性活性炭的XRD图谱。
AsH3吸附机制的鉴定
彩运cy888 根据实验结果和随后的产物分析,确定了低温下铜改性活性炭上AsH3化学吸附的机理。将Cu(NO3)2添加到活性炭中可以在180℃焙烧时形成CuO的高活性相。由于AsH3吸附在金属组分上,As-H键减弱,在较低温度下容易断裂,活性炭吸附剂的Cu2+和Cu+转化循环在此过程中发挥了重要作用。释放的Oα将AsH3氧化为As3+,而Cu2+恢复为Cu+与空气中的氧气接触后氧化成Cu2+。同时,在40℃的反应温度下,L酸位点可以极大地改善活性炭吸附剂对O2的表面化学吸附,从而补充Oβ以促进Cu的循环。主要氧化砷产物以As2O3为主,少量As2O5。总体而言,活性炭吸附剂通过Cu物种循环和活化L酸位点的协同作用实现了对AsH3的高效捕获和纯化。
活性炭对砷化氢吸附改善作用,通过低温焙烧法合成的铜改性吸附剂具有较高的砷化氢吸附效率。通过活性组分CuO中的Cu2+到Cu+的循环释放的Oα在AsH3的氧化过程中发挥了重要作用。此外,铜改性活性炭吸附剂的L酸性位点可以快速改善O2的化学吸附,从而补充Oβ以协助Cu物种的循环。AsH3首先被氧化为As2O3,然后被氧化为As2O5,导致在吸附剂表面形成沉积物。对于几代后的60%的再生效率,铜改性活性炭中的中间体Cu2(NO3)(OH)在再生过程中可以部分转化为活性中心CuO。一次水洗和吹扫气再生的结果表明,Cu2+还原了20%,而主要污染物As2O3减少了约7倍。与传统的铜吸附剂相比,Cu(NO3)2-改性活性炭低温焙烧使反应操作温度降低了80℃。就工业实际条件和较低的操作温度而言,低温焙烧法合成的铜改性活性炭是一种很有前景的工业低温AsH3脱除吸附剂。
文章标签:椰壳活性炭,果壳活性炭,煤质活性炭,木质活性炭,蜂窝活性炭,净水活性炭.推荐资讯
- 2025-10-21活性炭从碱性甘氨酸溶液中吸附铂
- 2025-10-10活性炭金属改性对氢的吸附
- 2025-09-29活性炭吸附有机微污染物
- 2025-09-17活性炭去除对羟基苯甲醚
- 2025-09-09活性炭从水溶液中吸附苯酚
- 2025-08-27活性炭从水溶液中分离甲乙酮
- 2025-08-19活性炭对钴离子的吸附与去除
- 2025-07-30活性炭用于强汞的去除
- 2025-07-23活性炭超声辅助吸附黄金
- 2025-07-16活性炭载二氧化钛协同去除二氯甲烷
- 2025-07-09活性炭从水中吸附脂多糖
- 2025-07-03活性炭净化铜污染的生物柴油
