彩运cy888电话:13570151199
彩运cy888传真:020-39972520
邮箱:hanyan@hanyancarbon.com
地址:广东省广州市番禺区东环街番禺大道北555号天安总部中心30号楼6层
活性炭用等温线分析孔形成机制
活性炭通过原材料在KOH水溶液中的水热碳化直接合成。通过调节溶液混合的KOH的量来改变活性炭的孔隙。再通过测量气体吸附等温线的孔隙率测定法提供了对固体孔隙通道性质的深入了解,特别是在其他技术不适用于孔径大小的无序状材料上。活性炭对于化学活化,虽然有多种致孔剂,但其中受欢迎的是碱金属氢氧化物KOH和NaOH,因为它们有助于对孔隙率进行高度控制,对于KOH尤其如此。所以这次的研究是通过等温线分析活性炭内孔隙的有些形成机制,为了以后能控制活性炭孔隙的形成方便定制生产。
炭合成
彩运cy888 在使用和不使用致孔剂的情况下合成活性炭,但保持所有其他变量不变。一般情况下,这是通过在水热碳化步骤中添加KOH来完成的。原材料在KOH水溶液中以5℃/分钟-1的升温速率在250和300℃下通过水热碳化处理2小时。每个实验中锯末的浓度为0.32g/cm-3,而KOH原材料在每个热液碳化温度下从0.0、0.5到1.0变化。这产生了总共六种黑色浆料,它们在氧化铝舟中在100℃下干燥,然后通过在氮气下在800℃下加热1小时(升温速率3℃/分钟-1)进行活化并使其冷却获得成品活性炭。
活性炭的扩散
在等温线的测量过程中,当比较等温点之间的时间t时,这种差异最为明显,如图1a所示。虽然活性炭的O2和N2等温线以及活性炭的O2等温线的t大致相似,但活性炭的N2等温线在低相对压力区的t高得多,单点测量时间长达10小时。这表明缓慢扩散可能与N2与活性炭孔隙度的某些特征的相容性有关。同样,当比较其他炭的点之间所用的时间时在纤维素结构中用增加量的Na合成的样品(图1b)很明显,通过使用致孔剂扩大孔隙率提高了N2扩散到孔中的能力,并且这种改进在某些时候会加速取代度介于0.7和0.9之间。

图1:(a)O2和N2等温线在活性炭上的相对压力增加和(b)N2等温线其他炭的点之间的时间。
双拟合分析
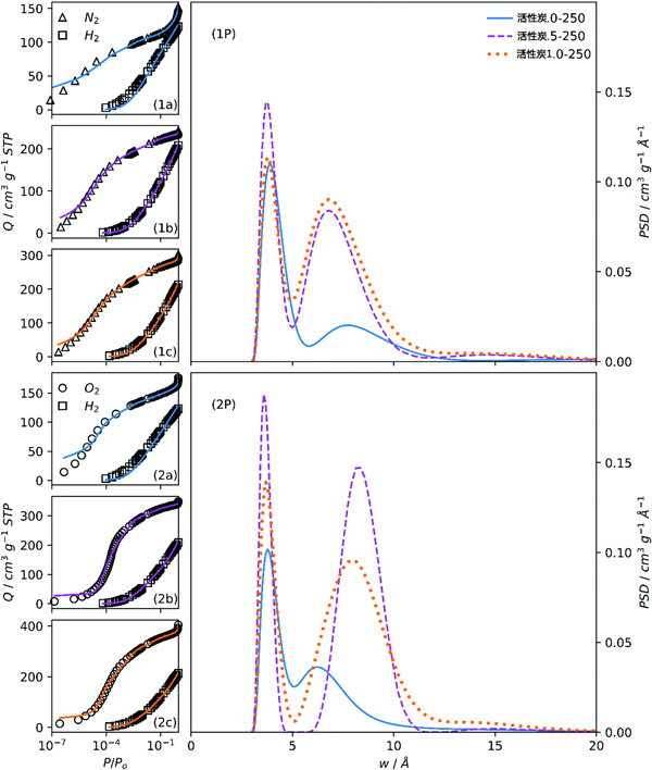
活性炭和其他炭对O2/H2和N2/H2等温线的双重拟合分别。如等温线本身所示,使用O2/H2等温线得出的活性炭(图2(1P,2P)的PSD表明比使用N2/H2时具有更大的孔隙率,对于其他炭的PSDs也是如此。无论使用什么等温线的子集,第一个大值的位置在所有派生的PSD中都是一致的,因为这主要来自H2等温线。然而,关于第二个大值,活性炭和其他炭的两组PSD提供的图片略有不同。虽然N2/H2衍生的PSD显示活性炭的孔径只有很小的差异或确实有很小的减小,但O2/H2PSDs表明,当KOH用作致孔剂时,孔隙度从超微孔扩展到超微孔区域。此外,在第二个最大值中有一些PSD展宽的迹象。后一种叙述更符合目前对活性炭中孔形成的理解,因为在热解过程中使用碱金属氢氧化物致孔剂导致孔径相对于通过生物质气化形成的孔尺寸增加(即,不添加致孔剂的热解)。同样,根据两个等温线对的同时拟合内核,孔径趋势与致孔剂量的这种差异可能是N2等温线的失败,因为在分析期间未充分探测超微孔。

图2:拟合样品活性炭的N2/H2(1a,1b,1c)和O2/H2(2a,2b,2c)等温线和所得的PSD(1P,2P)。
三向拟合分析
为了进一步了解O2/H2和N2/H2分析之间的差异,2D-NLDFT异质表面核同时适合某些样品的所有三个(O2、N2、H2)等温线。特别是,这里的目的是根据每个活性炭的活化程度比较拟合质量。在图3中比较了活性炭0-300和活性炭1的拟合和PSD。当使用对数相对压力轴检查拟合时图3(1b,2b),很明显,活性炭0-300的拟合极差,特别是在低压区域。虽然活性炭0-300的单独O2/H2和N2/H2分析在等温点低于P/Po=10-4时遇到问题,这个低拟合质量对于等温线的整个低压(即微孔)区域中的三向拟合非常显着。

图3:使用线性(1a,2a)和对数(1b)中的x轴同时拟合活性炭0-300(1a,1b)和活性炭1(2a,2b)的O2、N2和H2等温线)尺度,以及从三向拟合(1c,2c)确定的PSD。
彩运cy888 另一方面,活性炭1的三通配合要令人满意得多。还值得注意的是,对于这两个样品,对H2等温线的拟合总是很好,这表明不确定性是由于N2和O2等温线而不是H2之间的分歧造成的。至于PSD,虽然活性炭1的峰位置与任一双等温线分析中看到的峰位置基本相同,但活性炭0-300的峰位置并不明显。总而言之,虽然O2和N2之间的一致性适用于更高活化的样品,但对于活化程度较低的所谓的其他炭样品则不然。换言之,在探测超微孔时,O2和N2产生不同的PSD结果,这可归因于N2扩散到较小孔中的能力较差。随着孔隙率扩大到超微孔区域,可以通过任一吸附剂准确测量孔隙。
活性炭用等温线分析孔形成机制,比较了使用碱金属活化的活性炭的孔隙率,这是通过两种双等温线分析方法确定的,即使用吸附对N2/H2和O2/H2。我们得出结论,理论上,N2改进的超微孔渗透可以通过允许系统在低压下平衡更长的时间来实现,或者通过在更高温度下测量等温线来实现。然而,这些修改是不切实际的,因为在第一种情况下,等温线测量的持续时间会过长。此外,使用O2和H2可以更真实地描绘孔隙率随着氧化化学活化程度的增加,因为活性炭被越来越多的致孔剂活化。也就是说,随着致孔剂/活性炭比率的增加,我们始终观察到样品的PSD变宽。随着活化剂的量增加,观察到孔宽度的收缩。由使用N2和H2导出的PSD给出的叙述不能通过目前对氧化化学活化过程中孔隙度发展机制的理解来解释。致孔剂数量的增加对这些活性炭的细孔结构的微妙影响只能通过本工作中使用的高灵敏度方法检测到。这种敏感性意味着为材料选择合适的吸附剂至关重要。当试图了解随着活化剂量的增加而在活性炭中孔隙度的发展时,这个逻辑也应该扩展到吸附剂的使用。
文章标签:椰壳活性炭,果壳活性炭,煤质活性炭,木质活性炭,蜂窝活性炭,净水活性炭.推荐资讯
- 2025-10-21活性炭从碱性甘氨酸溶液中吸附铂
- 2025-10-10活性炭金属改性对氢的吸附
- 2025-09-29活性炭吸附有机微污染物
- 2025-09-17活性炭去除对羟基苯甲醚
- 2025-09-09活性炭从水溶液中吸附苯酚
- 2025-08-27活性炭从水溶液中分离甲乙酮
- 2025-08-19活性炭对钴离子的吸附与去除
- 2025-07-30活性炭用于强汞的去除
- 2025-07-23活性炭超声辅助吸附黄金
- 2025-07-16活性炭载二氧化钛协同去除二氯甲烷
- 2025-07-09活性炭从水中吸附脂多糖
- 2025-07-03活性炭净化铜污染的生物柴油
