电话:13570151199
彩运cy888传真:020-39972520
彩运cy888邮箱:hanyan@hanyancarbon.com
地址:广东省广州市番禺区东环街番禺大道北555号天安总部中心30号楼6层
真空变压吸附上活性炭对氢气的净化
氢是很有潜力的二次能源。与传统化石燃料相比,氢具有零污染和广泛可用的来源的优势,并且被认为是重要的能源载体。目前,大部分的氢的生产是用天然气和蒸汽甲烷重整制备。但是这种工艺会释放出包含H2,CH4,CO2,N2和CO的气体混合物,氢净化是氢能利用的重要组成部分。本次我们实验通过用活性炭进行真空变压吸附和变压吸附作为氢纯化的方法,测试活性炭对于氢净化效果。
彩运cy888 目前,超过85%的制氢公司使用变压吸附技术来纯化氢气。变压吸附是真空变压吸附的基础。与变压吸附相比,真空变压吸附的效率和生产率更高。在这项研究中,多组分气体(H2/CO2/CH4/CO/N2=0.79/0.17/0.021/0.012/0.007)的氢气纯化是通过一塔真空变压吸附和变压吸附进行的。比较了活性炭和沸石吸附剂的吸附能力。选择活性炭作为氢纯化的吸附剂,因为与活性炭掺沸石相比,活性炭具有更大的吸附能力。此外,建立了10个步骤的变压吸附循环模型,以模拟氢的净化性能。
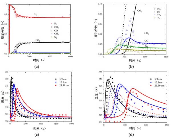
活性炭和活性炭掺沸石吸附床的突破曲线
活性炭和活性炭掺沸石中五组分混合物的摩尔分数模拟结果如图1所示,与实验结果非常吻合。从图1可以看出,每种组分的穿透时间是不同的。氢被轻度吸附并迅速达到突破点。氮气是第一个突破吸附床的气体,其次是一氧化碳,而甲烷和二氧化碳则是最后一个突破吸附床的气体。主要原因是不同气体的吸附性能不同。活性炭和活性炭掺沸石吸附剂对每种气体组分的吸附能力如下:CO2>CH4>CO>N2>H2。在吸附过程中,弱吸附物从吸附床解吸并重新整合到气流中,因此在穿透曲线中出现了明显的峰值。如图1所示,活性炭中的被吸附物穿透吸附床的速度比活性炭掺沸石中的慢,而活性炭中的穿透曲线的峰值低于活性炭掺沸石。这意味着活性炭比活性炭掺沸石可以吸收更多的二氧化碳,甲烷,一氧化碳,氮和氢。除了氢以外,CO2是混合物中较丰富的成分,虽然氢的吸附量很小,但CO2的吸附量更多。因此,在这种情况下,CO2的吸附量选择吸附剂作为吸附剂吸附能力的指标。活性炭比活性炭掺沸石吸附的二氧化碳多了17.80-25.75%。

彩运cy888 图1:活性炭和活性炭掺沸石的突破曲线(a,b)和温度曲线(c,d)。
彩运cy888 当气体被吸附时,吸附床的温度将升高,而当气体被解吸时,其温度将下降。然而,由于吸附床与环境之间的热传递,吸附床的温度最终将下降至初始值。活性炭掺沸石中的温度峰值低于活性炭中的温度峰值,这主要是因为活性炭掺沸石中的吸附热量和吸附量小于活性炭中的吸附热量和吸附量。
氢气净化的参数研究
进料时间的影响如图2所示。当进料时间从101秒增加到151秒时,氢气纯度降低了0.53-1.07%,氢气回收率提高了8.66-15.30%。当进料时间从151秒增加到201秒时,氢气纯度降低了0.82–1.71%,氢气回收率提高了3.77–6.64%。当真空变压吸附系统达到循环稳态时,延长进料时间会增加出口处的不纯气体量,这会导致氢气纯度下降,但由于进料到吸附床的氢气量增加,氢气回收率增加。当吹扫时间长并且进料时间增加时,氢纯度变化率降低,并且氢回收率变化率增加。

图2:进料时间和吹扫时间对真空变压吸附循环的氢纯度(a)和回收率(b)的影响。
彩运cy888 活性炭净化时间的影响如图2所示。当吹扫时间从40秒增加到70秒时,氢气纯度提高了0.44–1.35%,氢气回收率降低了2.61–6.57%。当吹扫时间从70秒增加到100秒时,氢气纯度提高了0.21-0.76%,氢气回收率降低了2.91-7.19%。随着吹扫时间的增加,在吹扫步骤中氢气的摩尔分数增加,因为更多的不纯气体从吸附剂中解吸出来。因此,随着吸附剂的循环利用,这些杂质的摩尔分数降低,因此随着净化时间的增加,氢纯度也随之提高。但是回收率下降了,当进料时间短并且吹扫时间增加时,氢纯度变化率降低,并且氢回收率变化率增加。
彩运cy888 真空变压吸附上活性炭对氢气的净化,分析和比较了活性炭和活性炭掺沸石吸附剂,以及大气压和真空变压吸附循环。得到以下结论。从多组分气体中纯化氢时,活性炭具有比掺沸石的吸附能力更高,吸附量能多了17.80-25.75%。在真空变压吸附的氢气提纯性能优于变压吸附。因此,进一步研究和优化了用于氢气纯化的真空变压吸附系统的参数。结果表明,进料时间对氢纯度有负面影响,对氢回收率有正面影响,而吹扫时间对氢纯度有正面影响,对氢回收率有负面影响。结果表明,进料时间设定为223秒,吹扫时间为96秒时,氢回收率高达到88.65%,进料时间设定为100秒,吹扫时间为45秒时氢纯度高达到99.33%,活性炭很适用于氢气生产工业中的吸附剂材料。
文章标签:椰壳活性炭,果壳活性炭,煤质活性炭,木质活性炭,蜂窝活性炭,净水活性炭.推荐资讯
- 2025-10-21活性炭从碱性甘氨酸溶液中吸附铂
- 2025-10-10活性炭金属改性对氢的吸附
- 2025-09-29活性炭吸附有机微污染物
- 2025-09-17活性炭去除对羟基苯甲醚
- 2025-09-09活性炭从水溶液中吸附苯酚
- 2025-08-27活性炭从水溶液中分离甲乙酮
- 2025-08-19活性炭对钴离子的吸附与去除
- 2025-07-30活性炭用于强汞的去除
- 2025-07-23活性炭超声辅助吸附黄金
- 2025-07-16活性炭载二氧化钛协同去除二氯甲烷
- 2025-07-09活性炭从水中吸附脂多糖
- 2025-07-03活性炭净化铜污染的生物柴油
