彩运cy888电话:13570151199
传真:020-39972520
彩运cy888邮箱:hanyan@hanyancarbon.com
地址:广东省广州市番禺区东环街番禺大道北555号天安总部中心30号楼6层
活性炭浸渍磺酸预处理制备葡萄糖
木质素是常见农业副产物,为了研究开发生物能源,本次介绍的是一款活性炭酸催化剂,该催化剂可以有效地对木质素进行预处理,并且其温度要低于常规液态硫酸。在这方面,磺酸浸渍下的活性炭拥有高活性和选择性在几个酸催化的反应。本研究的总体目标是并排合成和系统地比较不同的磺酸固体酸浸渍的活性炭催化剂,以预处理木质素,随后水解成葡萄糖。
活性炭浸渍磺催化剂与实验方法
彩运cy888 使用活性炭作为载体分别与对甲苯磺酸,甲磺酸和硫酸进行浸渍合成了三种固体酸催化剂。这项研究中的所有实验均一式三份进行,所有活性炭催化剂均重复使用了3次。在这项研究中测试了四个处理变量(催化剂类型,预处理温度,预处理时间和催化剂耐久性)。三种活性炭浸渍催化剂,温度(30、60和90°C)和催化剂耐久性的水平测试,而预处理时间(90分钟和120分钟)有2个级别。使用混合模型分析数据,并采用切片效应测试以观察在95%置信范围内使用3类固定效应测试。
活性炭的EDX光谱
彩运cy888 活性炭在磺化处理后,表面积减少,可能是由于碳与磺酸之间的氧化反应所致。活性炭骨架中磺酸基的浸渍减少了可用的孔体积,但是孔径始终保持在20nm左右。活性炭的表面化学性质发生了显着变化。与对照(原料活性炭)相比,磺酸浸渍的活性炭催化剂的总酸度显着提高。具体而言,对于由磺酸,羧酸,内酯和磺酸组成的活性炭催化剂,总酸度增加了几倍。酚基,表明活性炭和磺酸前体之间的氧化反应。此外,当进行元素分析时,磺酸负载的碳在表面上也表现出明显的变化。未浸渍活性炭和活性炭浸渍甲磺酸的EDX光谱如图1所示。由于磺酸的形成,该表面在2.3keV处显示出硫的存在。在酯化反应中测试了磺化活性炭催化剂,在该反应中发现了约2.3keV的硫峰。我们的表征数据也通过XPS分析得到了证实,该分析提供了有关磺化活性炭表面化学的信息。

图1:从活性炭(a)和甲磺酸浸渍的活性炭(b)获得的能量色散X射线光谱。
活性炭浸渍磺酸预处理对葡萄糖产生的影响
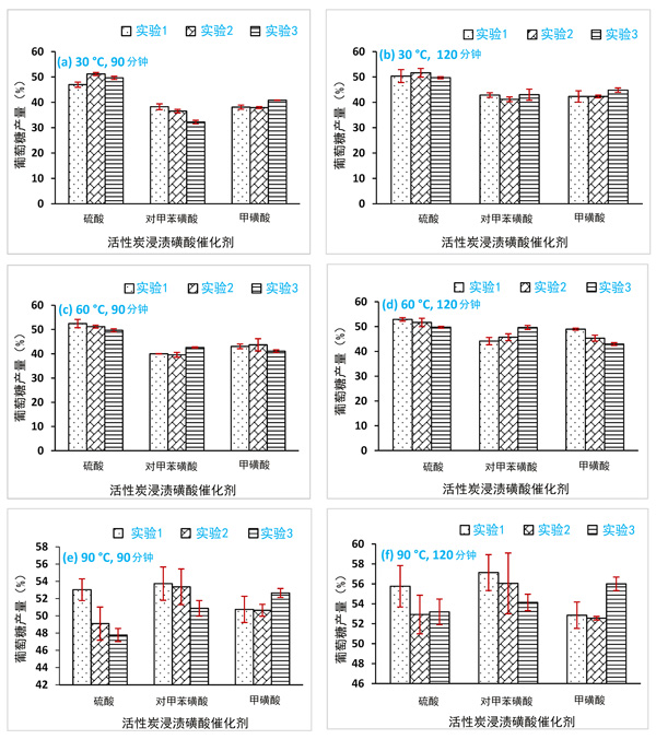
温度对所有活性炭催化剂的葡萄糖产率的影响示于图2中。发现温度对用三种不同的活性炭浸渍磺酸催化剂处理的木质素获得的葡萄糖产量具有显着影响(p<0.05)。对于测试的温度范围(30–90°C),活性炭浸渍对甲苯磺酸催化的葡萄糖产率为31.5%至57.13%,活性炭浸渍甲磺酸催化的葡萄糖产率为37.91%至56.01%,活性炭浸渍硫酸催化的葡萄糖产率为46.96%至55.75%。有趣的是,活性炭浸渍中对甲苯磺酸和甲磺酸相比,在90和120分钟的预处理时间内,即使在较低的温度(30和60°C)下,活性炭浸渍硫酸的产量也更高。但是,随着温度升高至90°C,对于所有测试的催化剂,未观察到葡萄糖产率的差异。发现在较高温度下进行预处理可以提高纤维素的溶解度和酶与纤维素的相互作用,从而提高葡萄糖的收率。

图2:在不同温度和反应时间下,用活性炭浸渍磺酸催化剂预处理木质素的酶促水解后的葡萄糖收率(%)。
预处理时间结表明,反应时间对葡萄糖的产生有显着影响(p<0.05)。总的来说,更长的反应时间可以提高葡萄糖的产量。在测试的最低温度(30°C)下,对于三种活性炭催化剂,在90-120分钟的预处理后观察到的葡萄糖产量增加了0.06%至10.77%。反应时间从1小时增加到3小时,单糖的产率提高了12.5%。所以在高温和长时间反应下能增加葡萄糖的产率。至于磺酸固酸预处理对木素脱氢的影响,研究发现磺化活性炭催化剂可能通过形成疏水基团和亲水基团而破坏了木质素的结构,并随后增强了纤维素和酶之间的吸附相互作用。
木质素用磺酸浸渍的活性炭催化剂预处理,随后将葡聚糖酶促转化为葡萄糖。结果表明,磺酸浸渍的活性炭催化剂对木质素的预处理是有效的。在较低的温度(30和60°C)下,发现活性炭浸渍硫酸比其他两种磺酸更有效,但在90°C下没有发现差异。然而,发现反应时间显着影响预处理过程。另外,该催化剂被成功地重复使用了三遍,而活性损失最小。我们的结果表明,浸渍了磺酸的活性炭催化剂可能会减少酸的处理量,并使生物质制醇更加方便和对环境友好。
文章标签:椰壳活性炭,果壳活性炭,煤质活性炭,木质活性炭,蜂窝活性炭,净水活性炭.推荐资讯
- 2025-10-21活性炭从碱性甘氨酸溶液中吸附铂
- 2025-10-10活性炭金属改性对氢的吸附
- 2025-09-29活性炭吸附有机微污染物
- 2025-09-17活性炭去除对羟基苯甲醚
- 2025-09-09活性炭从水溶液中吸附苯酚
- 2025-08-27活性炭从水溶液中分离甲乙酮
- 2025-08-19活性炭对钴离子的吸附与去除
- 2025-07-30活性炭用于强汞的去除
- 2025-07-23活性炭超声辅助吸附黄金
- 2025-07-16活性炭载二氧化钛协同去除二氯甲烷
- 2025-07-09活性炭从水中吸附脂多糖
- 2025-07-03活性炭净化铜污染的生物柴油
