彩运cy888电话:13570151199
传真:020-39972520
邮箱:hanyan@hanyancarbon.com
地址:广东省广州市番禺区东环街番禺大道北555号天安总部中心30号楼6层
活性炭吸附柴油脱硫
化石燃料的燃烧会引起空气污染,会造成很多环境问题。诸如二氧化硫,一氧化氮,一氧化碳,颗粒物和挥发性有机化合物等空气污染物的排放来自各种来源,尤其是内燃机中燃料的燃烧。为了控制这些排放,炼油厂通常采用加氢处理以减少燃料中存在的硫,氮,氧,芳烃的含量。由于通过常规加氢处理方法去除难熔硫化合物超出某些阈值仍然具有挑战性,因此已经研究了几种替代方法来降低燃料中难降解物质的含量。本次研究的目的是研究含硫柴油的间歇式吸附脱硫工艺,并研发有椰壳制成的活性炭吸附剂,用于柴油的吸附脱硫。
硫化合物在柴油中是不可取的,因为这些化合物会对发动机机械产生腐蚀并造成环境破坏。吸附脱硫是一种过程,该过程取决于固体吸附剂的选择性吸收燃料中有机硫化合物的能力。研究相互影响的参数,以改善硫化合物的吸附并找到合适的吸附条件。通过不同的吸附动力学模型验证了吸附过程的控制机理。硫的去除是精制的重要步骤原油的燃烧,因为硫化合物的燃烧产物是酸雨和环境污染的主要原因。吸附技术很简单,当硫分子附着在活性炭上并与燃料分开时,就会发生吸附。
活性炭吸附柴油脱硫
在研究测试中,柴油的吸附脱硫是通过使用椰壳制成的活性炭进行的,该活性炭是韩研专为柴油脱硫研发的。柴油样品是从当地的加油站收集的。直接使用活性炭进行分批平衡实验,该活性炭被不同的活化剂进行活化,分批实验使用50ml的柴油样品进行。并借助磁力搅拌器在室温下固定固定1、2、3、4小时。进行实验以测试活性炭的使用量,接触时间和直到平衡的粒径。收集样品过滤并使用UV-可见159分光光度计分析其含硫量。该数据用于研究吸附等温线。
接触时间对脱硫的影响
使用通过不同活化剂(如Cacl2,Zncl2,H2SO4等多种活化剂)活化的活性炭进行批量实验。估计的结果为选择活化剂作进一步的实验提供了思路。由于在吸附剂剂量为10gms时,使用活化剂H2SO4去除活性炭的硫效率较高,原始样品的浓度为334.5ppm,如图1所示。

图1:不同活化剂活化的活性炭对柴油脱硫。
脱硫吸附等温线吸附等温线
通过将实验数据拟合到Langmuir和Freundlich等温线,完成了吸附脱硫过程的平衡表征。吸附等温线表明,随着溶液中平衡浓度的增加,硫的吸附量增加。应用Langmuir和Freundlich模型方程对硫的吸附等温线进行了分析。1/n值表示良好的吸附Freundlich模型比Langmuir模型(R2=0.817)拟合效果更好(R2=0.831)。

图2:Langmuir等温线柴油通过活性炭去除硫。
活性炭柴油脱硫的动力学分析
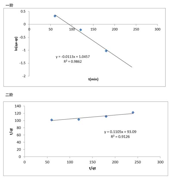
硫的去除将通过动力学研究进行分析。将对脱硫动力学进行研究,将批处理实验数据拟合到动力学速率方程中,并对动力学参数进行评估。将依赖于吸附能力随时间获得的数据用于动力学分析。通过在室温下选择60,120,180,240分钟的接触时间来进行脱硫的动力学分析。拟一阶模型和拟二阶模型的动力学分析均采用以下方式进行:所用吸附剂的平衡吸附容量qe包括240分钟后测得的值。
一阶速率方程和二阶速率方程将用于解释硫,将估算速率常数下的动力学。进行了动力学实验,以评价椰子壳活性炭对柴油机吸附脱硫的适用性。将依赖于吸附能力随时间获得的数据用于动力学分析。根据将数据拟合到一阶和二阶模型的结果,表No1给出了伪一阶和伪二阶反应模型的R2值。图3分别显示了伪一阶速率方程和伪二阶速率方程的测试。从数据拟合到各种模型的结果来看,根据一阶和二阶反应模型的R2值表明伪一阶反应模型的相关系数值接近1,因此可以更好地描述数据。

图3:活性炭吸附柴油脱硫的一阶动力学和二阶动力学。
活性炭是一种吸附柴油脱硫吸附剂的良好选择。在接触温度,吸附剂剂量和硫浓度的影响下,在大气温度和压力下,使用活性炭在批次实验中对柴油进行脱硫。并比较吸附前后柴油中的硫含量。采用指定活化剂制成的活性炭吸附脱硫使柴油中的硫减少了原来硫含量的80%以上。一阶和二阶模型用于吸附剂的动力学研究。一阶模型提供了更好的结果,对于二阶模型,可获得更好的结果。使用Freundlich和Langmuir吸附等温线关联实验数据。均衡数据用Freundlich等温线模型描述。
文章标签:椰壳活性炭,果壳活性炭,煤质活性炭,木质活性炭,蜂窝活性炭,净水活性炭.推荐资讯
- 2025-10-21活性炭从碱性甘氨酸溶液中吸附铂
- 2025-10-10活性炭金属改性对氢的吸附
- 2025-09-29活性炭吸附有机微污染物
- 2025-09-17活性炭去除对羟基苯甲醚
- 2025-09-09活性炭从水溶液中吸附苯酚
- 2025-08-27活性炭从水溶液中分离甲乙酮
- 2025-08-19活性炭对钴离子的吸附与去除
- 2025-07-30活性炭用于强汞的去除
- 2025-07-23活性炭超声辅助吸附黄金
- 2025-07-16活性炭载二氧化钛协同去除二氯甲烷
- 2025-07-09活性炭从水中吸附脂多糖
- 2025-07-03活性炭净化铜污染的生物柴油
