电话:13570151199
传真:020-39972520
彩运cy888邮箱:hanyan@hanyancarbon.com
彩运cy888地址:广东省广州市番禺区东环街番禺大道北555号天安总部中心30号楼6层
活性炭吸附回收芳香化合物
香精油仅占植物成分的一小部分,但赋予了芳香族植物用于食品和香料行业的特性。香精油具有复杂的成分,包含数十至数百种成分,尤其是碳氢化合物(萜烯和倍半萜烯)和含氧化合物。他们负责独特的气味和味道。传统上,蒸汽蒸馏已用于从植物原料中回收精油。通常使用色谱技术确定有机化合物,具体选择取决于它们的极性,挥发性和它们在高温下分解的风险。从液体中吸附有机溶质是粉末状和颗粒状活性炭的重要应用。影响吸附过程的活性炭的特征是孔的质地和表面接触。
对于从液体中去除所有这些不可生物降解的有机物,吸附是比较希望的选择。活性炭通常由碳含量高的材料获得,独特的多孔结构并具有很大的吸附能力。尽管呈颗粒状或粉末状的活性炭具有良好的吸附有机分子的能力,但是目前活性炭在精油提取行业中的应用似乎很少。香精油是高度浓缩的调味剂。它们主要通过物流或水蒸馏从芳香植物中提取。吸附剂对吸附质的吸附应从两个方面进行描述:吸附能力和亲和力。吸附能力受可用于吸附给定吸附质的吸附剂的潜在空间限制,而吸附亲和力取决于吸附质和吸附剂之间的吸引力强度。本次我们使用专门研发的活性炭以吸附废水蒸馏中的挥发性化合物。由丁香油组成的挥发性化合物被吸附,然后从活性炭中回收。主要研究目的是使用活性炭从丁香油废水蒸馏中吸附和回收芳香化合物。
活性炭的表面分析
活性炭的表面分析通过SEM确定(图1)。SEM分析表明,两种活性炭和吸附后的活性炭之间的表面差异。果壳活性炭表明毛孔的活跃部分相对较大。在用酸活化过程之后,涂覆的活性炭的表面更具反应性,表明该表面具有更多的孔。吸附了有机化合物的活性炭显示出更加封闭的表面,表明活化孔表面上已经吸附了有机化合物。

彩运cy888 图1:SEM分析:(a)一般活性炭,(b)活化活性炭,和(c)吸附后的活性炭。
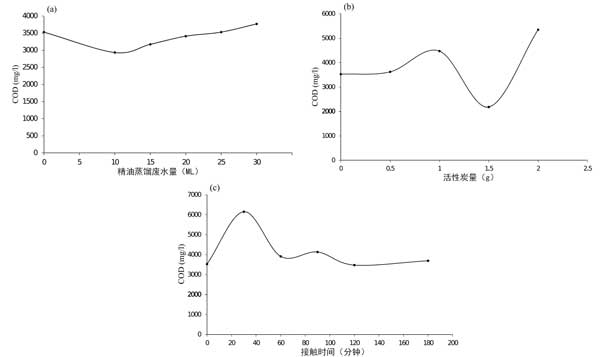
吸附过程中活性炭重量的变化
彩运cy888 吸附过程通过柱色谱进行。活性炭重量的变化为0.5–2g。将总共10ml的溶液加入到活性炭的柱中。使溶液与活性炭接触并从柱中收集。
接触时间对活性炭吸附过程的影响
丁香油的吸附过程通过柱色谱法进行。将一定体积的10ml溶液引入含有重量为0.5g的活性炭的柱中。使溶液与活性炭剂接触30–180分钟,然后将溶液从活性炭中移出。在活性炭上吸附过程之后,测量溶液的化学需氧量(COD)水平。
活性炭体积对有机化合物吸附的影响
在柱色谱法上,活性炭吸收了废水中的丁香油。废水量从10–25ml不等。将样品添加到含有0.5g活性炭的色谱柱中。使溶液接触并从吸附剂中除去。通过COD含量分析测量从吸附过程获得的溶液。

图2:活性炭的参数对吸附COD含量的影响:(a)体积,(b)活性炭重量,(c)接触时间。
当10毫升废水量时活性炭吸附后降低的COD值在图2显示。在10ml废液量下获得良好吸附,其COD值为3000左右。丁香废油的COD值表明了接触时间对吸附过程的影响。在30分钟的接触时间内,COD值增加。接触30分钟后,COD水平在合适条件下120分钟相对稳定。
彩运cy888 活性炭吸附回收芳香化合物,丁香油的主要化合物是丁子香酚(80.26%),乙酸丁子香酚(8.64%)和石竹烯(5.16%)。丁香油在丁香酚,丁香酚乙酸酯和四硅氧烷只活性炭上吸附后的主要成分被观察到,其组成分别为63.76%,4.67%和0.54%。吸附在活性炭上的主要组成按数据显示,丁香酚在活性炭上的回收率为79.44%,丁香酚乙酸酯化合物为54.05%,精油的回收值为0.31%。还有什么不明白的请尽快联系我们,我们有专业的研发技术可以帮您解决相关问题。
文章标签:椰壳活性炭,果壳活性炭,煤质活性炭,木质活性炭,蜂窝活性炭,净水活性炭.推荐资讯
- 2025-10-21活性炭从碱性甘氨酸溶液中吸附铂
- 2025-10-10活性炭金属改性对氢的吸附
- 2025-09-29活性炭吸附有机微污染物
- 2025-09-17活性炭去除对羟基苯甲醚
- 2025-09-09活性炭从水溶液中吸附苯酚
- 2025-08-27活性炭从水溶液中分离甲乙酮
- 2025-08-19活性炭对钴离子的吸附与去除
- 2025-07-30活性炭用于强汞的去除
- 2025-07-23活性炭超声辅助吸附黄金
- 2025-07-16活性炭载二氧化钛协同去除二氯甲烷
- 2025-07-09活性炭从水中吸附脂多糖
- 2025-07-03活性炭净化铜污染的生物柴油
