彩运cy888电话:13570151199
彩运cy888传真:020-39972520
彩运cy888邮箱:hanyan@hanyancarbon.com
地址:广东省广州市番禺区东环街番禺大道北555号天安总部中心30号楼6层
今天小编介绍一下环己烷的无溶剂氧化活性炭,活性炭的原材料由磷酸浸泡在380℃的环境中加入惰性气体下碳化制成,随后用过氧化氢活化。活性炭通过SEM,EDX,FTIR,TGA和BET表面积和孔径分析仪表征。在自制双壁三颈批料中研究了在中等温度的分子氧存在下,活性炭作为环己烷无环氧化成环己醇和环己酮(该混合物称为KA油)的催化剂的潜力反应堆。对不同反应参数/添加剂的影响进行了优化。
活性炭在19世纪初被首次报道为有效催化剂[。十九世纪初期,活性炭通常由不同农业原料的热活化法制备,作为过氧化氢降解的催化剂进行了研究。活性炭对过氧化氢分解的催化活性非常好,但持续时间短。用于分解过氧化氢的催化活性消失的最可能的原因可能是活性炭表面上的氧化基团的失活。近几十年来研究人员成功地解决了活性炭耐久性的主要问题。通过物理,物理,化学和化学活化,活性炭被调整以显示出良好的催化活性在光气,硫化氢的生产中,氢化,聚合,卤化,除去SO 2 和NO x 和苄醇的氧化。活性炭的这种性能归因于其孔隙度,活性位点和高表面积。因此,通过控制这些参数,活性炭就可以被调整为用于选择的有机转化的有效催化剂。

活性炭实验条件与过程
在目前的工作中,在温和的反应条件下,在氧气存在下,将活性炭用作无金属催化剂,用于无环氧化的环己烷氧化成KA油。优化了反应参数,并在生产率方面发现了催化效率。制备的便利性,活性足够,低成本,可回收性,不渗透性和环保性使得活性炭成为环己烷无溶剂氧化的有用催化剂。
彩运cy888 通过扫描电子显微镜研究了活性炭的表面形态。通过使用能量色散X射线光谱法记录活性炭的元素组成。通过X射线衍射仪进行X射线分析。通过傅里叶变换红外光谱仪检查活性炭表面上的官能团。通过TGA热分析仪在0/1000℃的温度范围内 以10℃/ min的速率在N 2流下进行热量的重量损失百分比 。使用铬表面积分析仪测量活性炭的表面积。

将环己烷(12.5mL)和活性炭(0.4g)装载到自设双壁三口式间歇式反应器中。在分子氧(40mL / min)存在下,在75℃下搅拌混合物14小时 。在相同的一组反应参数中,碱性NaOH:0.2 mmole的存在下也进行反应。通过气相色谱分析环己烷转化为KA油,使用交联甲基硅氧烷毛细管柱(30μm,内径0.32mm, 米 m膜厚度),与火焰离子化检测器(FID)相连。
通过SEM分析活性炭的表面形态。SEM图像显示了多孔结构,微孔/中孔与活性炭内表面连接的交联通道的混合,如图 1 。高放大倍率显示2到10的腔的存在μ 米 ,可以方便地访问内部微孔和中孔。此外,EDX分析(图 2 )显示痕量的磷和二氧化硅, 那些是花生壳的主要内容。

活性炭实验结果与讨论
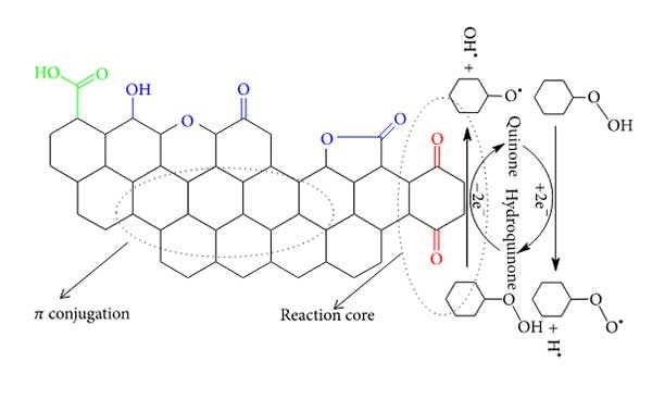
在活性炭表面,含氧官能团负责将环己烷氧化成环己醇和环己酮。据广泛报道,活性炭表面与分子氧通过含氧官能团如羰基,酮和醌。此外,通过含氧表面官能团活性炭彩运cy888发生氧化反应,而这些官能团通过分子氧再生。在最近的研究中,探讨了除其他含氧基团之外,醌基是环己烷氧化最稳定和主要来源。醌/氢醌体系的芬顿样机理是环己烷氧化传播的最有可能途径。喹诺酮通过连续氧气鼓泡在反应混合物中由氢醌再生。表面官能团(品种/密度)可以通过化学/热处理。在最近的研究中,如TGA所示,通过热处理调整活性炭表面上产生的氧官能团。活性炭在高温580℃下处理;。因此,唯一现有的含氧官能团将是醌。确认高温(700°C)下醌官能团的稳定性。同样,喹诺酮官能团的稳定性高达800°C。因此,总结一下,环己烷氧化成环己醇和环己酮遵循方案所示的机理 。
彩运cy888 活性炭通过化学方法合成,并用低分子氧在环己烷中无溶剂氧化。通过热处理来调节活性炭以发展表面上的醌官能团。最佳反应参数设定如下:反应物115.56mmol、活性炭0.4g、 温度75℃、时间14小时。将催化剂的催化活性与目前研究的重要性的生产率的基础上报告的文献进行比较。催化剂重复使用数次,这表明催化剂的耐久性。研究结果表明,醌基官能团是用分子氧氧化环己烷再生性能的最佳反应核心。活性炭被发现是具有延长寿命的真正的异相催化剂。
文章标签:椰壳活性炭,果壳活性炭,煤质活性炭,木质活性炭,蜂窝活性炭,净水活性炭.推荐资讯
- 2025-10-21活性炭从碱性甘氨酸溶液中吸附铂
- 2025-10-10活性炭金属改性对氢的吸附
- 2025-09-29活性炭吸附有机微污染物
- 2025-09-17活性炭去除对羟基苯甲醚
- 2025-09-09活性炭从水溶液中吸附苯酚
- 2025-08-27活性炭从水溶液中分离甲乙酮
- 2025-08-19活性炭对钴离子的吸附与去除
- 2025-07-30活性炭用于强汞的去除
- 2025-07-23活性炭超声辅助吸附黄金
- 2025-07-16活性炭载二氧化钛协同去除二氯甲烷
- 2025-07-09活性炭从水中吸附脂多糖
- 2025-07-03活性炭净化铜污染的生物柴油
