电话:13570151199
彩运cy888传真:020-39972520
邮箱:hanyan@hanyancarbon.com
地址:广东省广州市番禺区东环街番禺大道北555号天安总部中心30号楼6层
近来,人类活动激增导致了农业废物在环境中的增加。为了找到这些材料的新应用,我们研究了铁含量(2.5,5,10和15%)对由椰壳制备的活性炭催化性能的影响。大多数时候,这些材料直接放在环境中,会导致有机物过度积累。虽然这种类型的污染物是可生物降解的,但其矿化需要漫长的时间。此外,由于人类活动较大,自然循环的难度越来越大。克服这个问题的一个有吸引力的选择是使用固体废物作为能源或原料来获得高价值产品,如活性炭。它们可以从各种材料制备,如椰壳,木材,油,泥炭,焦炭,兽骨,种子,锯屑,稻壳和聚合物。

由于活性炭的物理和化学性质稳定,高硬度,耐热性,耐腐蚀性和导电性,对酸和碱的耐受性,还具有其功能基团这让活性炭近年来引起了人们的关注。表面积,吸附离子的吸附性和高比表面积这些性质中的大多数可以在制备活性炭期间得到控制。由于这些特点,活性炭已经在很多领域中得到应用,例如在气体或液体的吸附中或在化学品的回收和净化中以及在燃料电池中储存氢。此外,活性炭已经用作各种反应中的催化剂和载体,如乙苯脱氢,从工业废水中去除苯酚和从残留水中除去硝酸盐或有机染料等等。
下面我们来看看铁含量对活性炭的催化性能的影响,已经发现,铁负载活性炭是一种有效的催化剂,以从水溶液中除去亚甲蓝,通过过氧化氢的吸附和氧化的组合工艺。此外,负载磁赤铁矿的活性炭通过吸附性,能有效地从水溶液中去除了人造红。另一方面,负载铁复合材料的活性炭能够通过芬顿反应从水溶液中除去人造红。本次研究用椰壳为原料来制备活性炭,通过用适当浓度的硝酸铁水溶液浸渍活性炭得到催化剂,以在最终固体中达到2.5,5,10和15%的铁含量。将系统保持搅拌(80rpm)2小时。该催化剂在120ºC干燥,24个小时,并加热(10分钟ºC - 1)在氮气流下(100毫升分钟- 1)高达450ºC,被保持在该温度2小时。测试了铁含量对椰壳活性炭的催化性能的影响。在去除亚甲蓝时,评估催化剂,用作织物染料的模型化合物。
从实验结果可以看出,如图1所示,可以提出在活性炭上形成磁铁矿粒子的途径。假设磁铁矿颗粒主要在支撑孔内部,加热期间由浸渍的硝酸铁形成。据信,由于起始材料中没有Fe 2+物质,所以首先产生赤铁矿。一段时间后,一氧化碳由活性炭生成,能够将一些Fe 3+还原成Fe 2+物种生产磁铁矿。然而,随着还原应从表面开始,由于一氧化碳不可接近,一些赤铁矿可能仍然作为颗粒中的核心。因此,所得颗粒由磁铁矿包围的赤铁矿芯制成。

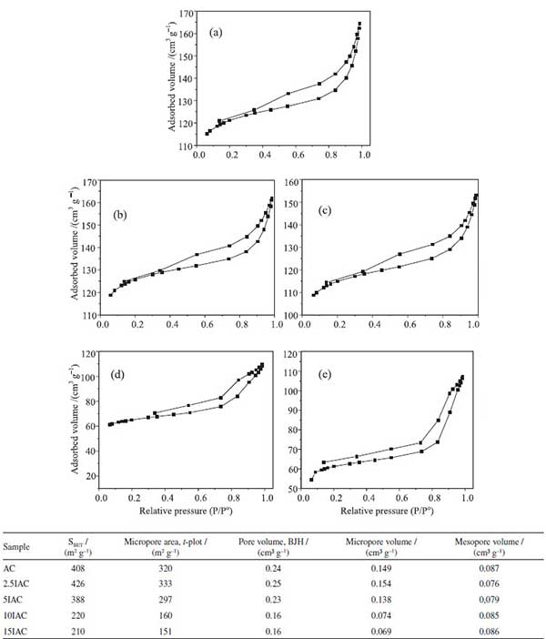
比表面积和孔隙率测量所有样品都显示了微孔和介孔材料典型的II型等温线,具有磁滞回线,表明中孔中的毛细管冷凝,如图2所示。表中显示了样品的主要结构特性。可以看出,含铁量小的活性炭(2.5%和5%)的浸渍不影响其结构性质。这一发现表明,活性炭彩运cy888支持物的孔堵塞是可忽略的,与如图1结果一致。然而,较高量的铁(10%和15%)的活性炭导致比表面积大幅度下降,这与微孔面积和体积的减少密切相关。这证实了假设大多数氧化铁沉积在孔内,其中它部分阻塞孔。
结论:从椰壳成功制备了具有不同铁量(2.5,5,10和15%)的活性炭样品,提供了减少环境中农业废物的可能性。根据铁的存在和数量,固体显示不同的结构和还原性质。除了由赤铁矿制成的铁质不良样品(2.5%)外,发现磁铁矿颗粒具有赤铁矿芯,其尺寸(28-34nm)随固体铁量的增加而增加。这些活性炭能够从水溶液中除去高达88%的亚甲基蓝,主要是通过被认为比芬顿反应更快的染料吸附。铁15%的固体是最活跃的,这可以与表面上铁的最高量相关联,促进芬顿反应,并在活性炭表面形成能够吸附亚甲蓝的新官能团。这些活性炭催化剂的制备和使用可以有助于克服当前面临的两个问题:环境中有机废物的减少和维护水资源的纺织品废水净化。
文章标签:椰壳活性炭,果壳活性炭,煤质活性炭,木质活性炭,蜂窝活性炭,净水活性炭.推荐资讯
- 2025-10-21活性炭从碱性甘氨酸溶液中吸附铂
- 2025-10-10活性炭金属改性对氢的吸附
- 2025-09-29活性炭吸附有机微污染物
- 2025-09-17活性炭去除对羟基苯甲醚
- 2025-09-09活性炭从水溶液中吸附苯酚
- 2025-08-27活性炭从水溶液中分离甲乙酮
- 2025-08-19活性炭对钴离子的吸附与去除
- 2025-07-30活性炭用于强汞的去除
- 2025-07-23活性炭超声辅助吸附黄金
- 2025-07-16活性炭载二氧化钛协同去除二氯甲烷
- 2025-07-09活性炭从水中吸附脂多糖
- 2025-07-03活性炭净化铜污染的生物柴油
