电话:13570151199
彩运cy888传真:020-39972520
彩运cy888邮箱:hanyan@hanyancarbon.com
彩运cy888地址:广东省广州市番禺区东环街番禺大道北555号天安总部中心30号楼6层
橄榄油废水中酚类化合物处理由大多都由活性炭来吸附,本期带大家了解活性炭的吸附剂量和温度的影响。在最佳条件下(每100毫升8克活性炭),每克活性炭表示当量mg的活性炭的最大吸附容量为10.8℃时为35.8℃,25℃为35.4℃,40℃时为36.1℃ C。伪二阶模型被认为是最适合于动力学结果,并且选择Langmuir等温线来更好地描述吸附系统。结果证实了活性炭从橄榄油流出物中几乎除去所有酚类化合物部分的效率。
彩运cy888 橄榄油行业产生巨大的环境影响的废物。作为主要的橄榄油提取残留物之一的橄榄油废水是含有痕量橄榄浆,果胶和油的酸性液体(pH = 5-5.5)。此外,据报道有机物质,特别是多酚的存在与这种废物对土壤,水生和空气生态系统的负面影响有关。已知大量酚类化合物,游离脂肪酸和无机盐是橄榄油废水的高植物毒性和生物降解性差的主要原因。因此,越来越重视找到合适的方法来控制这种污染物。后来发现用活性炭可以很好的控制有机物的污染。

近来,大范围的使用活性炭来用于去除水性有机物质。活性炭对于较低分子量的有机化合物如酚类具有完美的吸附能力。在活性炭上的吸附是其中物质在两相之间的界面处积累的物理或化学过程。活性炭通过分子与微孔或介孔的壁的吸引相互作用来吸附物质。活性炭已经被用作有效的吸附剂,用于除臭,溶剂回收,脱色,脱氯,臭氧湮灭,H 2 S / CS 2去除,黄金回收,过滤,燃气净化,工业废水处理,饮用水净化等。。虽然已经报道了关于从活性炭水溶液中吸附酚类化合物的内容,但是多组分溶液吸附的特性很少有人关注。多酚作为生物活性化合物的重要性促使我们通过吸附到活性炭上从废水中回收多酚,因为通过解吸有机化合物再生吸附剂的过程对于目前的研究构成了一个重要的问题,因为它们对吸附剂具有高亲和力表面。几种技术,如化学降解和超声已被用于从活性炭解吸酚。NaOH溶液被证明是有效的通过形成苯酚钠盐从活性炭回收吸附的酚类物质,这可以促进解吸。不同的因素影响吸附能力,如吸附剂孔隙结构的物理性质,官能团,被吸附物的性质,分子量,大小和溶液条件(pH和离子强度)。表面电荷与pH的变化可影响酚类的可逆和不可逆吸收。这可能是由于酚类化合物随着pH降低而增加的活性,并且对于可溶性摄取的影响在化合物pH值远低于溶质p K a时应该是最小的。可以从不可逆吸附的依赖性得出结论:酚类化合物的氧化偶联在碱性下比在酸性介质中更容易。
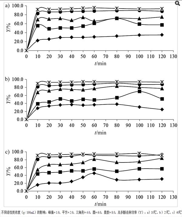
活性炭浓度与温度的影响
所用活性炭的浓度是控制吸附的重要因素。众所周知,温度是影响任何吸附过程的附加因素。因此,在三个不同的温度,室温(25℃),高于(40℃)和波纹管(10℃)下进行测试。为了观察温度和吸附剂量对多酚吸附的同时影响,吸附剂浓度从1至8g / 100mL变化。使用相同数量的废水(25mL)和恒定的酚浓度(3.0mg / mL)进行不同的测试,但改变活性炭的量(0.25、0.5、1.0、1.5和2.0g)。在图中可以观察到不同温度下的吸附趋势。

在每个测量温度下,吸附量(q e)随着活性炭浓度的增加而降低。在较高浓度的活性炭(8 g / 100mL)下,表面活性位点与吸附物质分子的饱和度不会导致更多的显着吸附。将初始酚浓度为0.01g / L的废水中的活性炭浓度从0.02增加到0.14g,导致5%的增加在苯酚的吸附中。在活性炭浓度为8g / 100mL时,在不同的施加温度下没有观察到明显的变化,例如在10,25和40℃下的吸附容量分别为35.8,35.4和36.1mg / g。酚类对颗粒活性炭的吸附能力随着温度的降低而增加。
使用不同浓度的活性炭(1、2、4、6和8g / 100mL)和温度(10,25和45℃)进行批次吸附试验,用于从橄榄磨废水中除去酚类化合物。在最佳条件下(8g活性炭/ 100mL),活性炭的最大吸附容量在10℃为35.8mg / g,25℃为35.4mg / g,在40℃为36.1mg / g。通过Langmuir等温线在三个不同的温度下令人满意地拟合了总多酚吸附的平衡数据。伪二阶模型(R 2 > 0.9204)与伪一阶模型(R 2<0.8750)相比更好地解释了吸附动力学。该研究的结果表明,活性炭可以有效地用作从橄榄油工业废水中去除酚类化合物的吸附剂。预处理废水作为生物乙醇生产的清洁底物具有潜力,并在环境和经济方面得到额外的好处。此外,吸附的酚类化合物可以在食品,化妆品工业中回收和纯化后使用。
文章标签:椰壳活性炭,果壳活性炭,煤质活性炭,木质活性炭,蜂窝活性炭,净水活性炭.推荐资讯
- 2025-10-21活性炭从碱性甘氨酸溶液中吸附铂
- 2025-10-10活性炭金属改性对氢的吸附
- 2025-09-29活性炭吸附有机微污染物
- 2025-09-17活性炭去除对羟基苯甲醚
- 2025-09-09活性炭从水溶液中吸附苯酚
- 2025-08-27活性炭从水溶液中分离甲乙酮
- 2025-08-19活性炭对钴离子的吸附与去除
- 2025-07-30活性炭用于强汞的去除
- 2025-07-23活性炭超声辅助吸附黄金
- 2025-07-16活性炭载二氧化钛协同去除二氯甲烷
- 2025-07-09活性炭从水中吸附脂多糖
- 2025-07-03活性炭净化铜污染的生物柴油
