彩运cy888电话:13570151199
传真:020-39972520
邮箱:hanyan@hanyancarbon.com
地址:广东省广州市番禺区东环街番禺大道北555号天安总部中心30号楼6层
活性炭吸附酸性水中的砷
作为地壳中第20位元素,砷存在于不少于245种矿物中。这些矿物中最常见的是毒砂,这种矿物通常与高金矿床一起发现,氧化时会产生砷和硫氧化酸。在采矿过程中,当含硫化物材料暴露于大气中的水和氧气时,砷会释放到酸性矿山排水中。本重点研究生活性炭的使用以及活性炭表面的改性,以去除酸性水中的砷(III)和砷(V)。这项工作描述了一种活性炭的高效吸附剂的新颖开发,其在砷物质环境修复中的应用,特别是砷在改性活性炭表面吸附的机制。
活性炭对As(V)吸附比较
彩运cy888 为了比较各种活性炭吸附砷(V)的效果,将0.1克活性炭添加到50mL/50ppm砷(V)样品中。将样品以150rpm搅拌6小时,然后过滤,然后对滤液进行元素分析。为了比较不同活性炭基质的功效,以每克活性炭吸附的砷(V)毫克数(mg/g)来比较相对于添加的活性炭量的吸附。如图所示数字图1,与铁、锰和铁/锰一起官能化后,砷的吸附有显着改善。

图1:比较各种活性炭,研究暴露6小时后砷(V)的吸附效率。
与未改性的活性炭相比,所有金属改性的活性炭都显示出对砷(V)的吸附增加。负载单一金属的活性炭对负载铁和负载锰的活性炭的吸附量分别为4.86±0.17和6.02±0.16mg/g,而未改性的标准活性炭的吸附量为2.08±0.11mg/g。通过在表面负载铁和锰的组合,吸附效率更加显着提高,砷吸附量达到12.88±0.58mg/g。活性炭在用铁锰混合物功能化后也进行了测试。观察到吸附能力从8.46±0.34mg/g提高到15.55±1.09mg/g。这样做是为了证明表面功能化在吸附中起着关键作用,并且即使以降低比表面积为代价,也可以通过表面功能化的改性来提高高表面积材料的吸附能力。
金属改性活性炭砷吸附前后的XPS表征
彩运cy888 铁锰改性活性炭砷吸附前后的Fe2p3/2、Mn2p3/2和As2p3/2XPS峰信号的解卷积、物种分配和总峰面积百分比中。请注意,Fe2O3、Fe3O42+、Fe3O43+、FeOOH、MnO、MnOOH和MnO2物种的识别因这些铁和锰的众所周知的XPS多重分裂而变得更加复杂物种。26-28FeMn负载的活性炭砷吸附后的Fe2p、Mn2p和As2p解卷积的XPS谱如图2所示作为每个活性炭样品的相关峰去卷积的示例。

图2:负载FeMn的活性炭、As曝光后的Fe(左上)、Mn(右上)和As(底部)XPS峰的解卷积。
在负载金属的活性炭中观察到的砷吸附增加的一种可能的解释是砷化物的形成。如果砷化物的形成是吸附增加的原因,则砷2p3/2峰的XPS光谱将显示砷化物的BE为1322.9eV。由于该区域不存在峰,因此不会形成砷化物,并且在经过Fe、Mn和FeMn处理的活性炭中观察到的砷吸附增强一定是通过不同的机制实现的。根据我们对砷暴露前和后的含铁和锰负载的活性炭样品的表征,我们得出结论,可能会发生氧化/还原反应。这与XPS结果一致,特别是对于砷2p3/2峰,表明存在于活性炭材料表面的砷物质被还原为砷(III)。
活性炭的吸附机制
铁基砷吸附以观察到预吸附砷的FeMn活性炭表面的铁物质主要是Fe2O3和FeOOH物质,分别占铁物质的32%和53%。接触砷后,这些百分比显着变为1.7%Fe2O3和82%FeOOH。pH3.0溶液中砷(V)的形态已知为H2AsO4–,吸附后As2p3/2峰的XPS显示,砷(V)在吸附过程中显着还原为砷(III)。吸附过程。
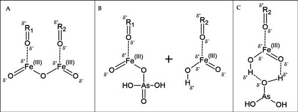
彩运cy888 在功能化过程中,铁被负载到活性炭表面,并通过偶极-偶极分子间力物理吸附到表面,如图3A所示,其中R代表活性炭。铁的高度亲氧特性是砷的带负电的氧形成铁-氧化物键的理想表面,将Fe2O3物质分解成FeOO–可以水解为FeOOH和砷的中间物质和铁通过共享的氧结合,如图3B所示。这种中间体会被活性炭中的电子快速分解,使用铁作为导体,电子可以自由地流向砷,并将砷物质从砷(V)还原为砷(III)。在这种情况下,铁仅充当电子流动的通道,而活性炭本身则充当还原剂。这是根据铁的XPS形态得知的,其中Fe(III)仍为Fe(III),表明它不是充当还原剂,而是充当电子到达砷的穿梭机。在此还原过程中,砷的化学键将从铁物质上的共享氧中断裂,并且还原的砷(III)物质将通过氢键物理吸附到活性炭的载铁表面,如观察到的在图3C。

彩运cy888 图3:(A)显示物理吸附到活性炭表面的铁。(B)显示了由于暴露于砷而形成的两种铁产物FeOOH和中间体FeO–O–AsH2O3。(C)显示了还原的As(III),这是电子从活性炭流过铁的结果,通过氢键物理吸附到载铁表面。
锰改性活性炭的吸附机制
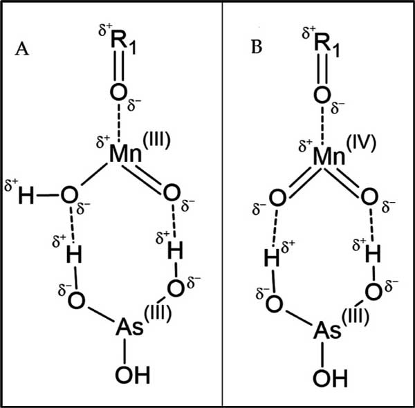
在XPS结果可以观察到MnO物质显着减少,从吸附前的27%减少到暴露后的15%。MnO物质的减少导致活性炭上存在的MnOOH和MnO2物质的增加。与铁基砷吸附类似,在活性炭功能化过程中,MnO通过偶极-偶极相互作用物理吸附到活性炭表面。与铁不同,对于锰,可以观察到两种不同的过程。第一个过程是将锰(II)氧化为锰(III)。在此过程中,砷从两个不同的锰分子中夺取一个电子,如氧化还原反应。该反应将使用锰作为还原剂将砷(V)还原为砷(III),砷(III)将通过氢键与在此过程中形成的MnOOH物质发生物理吸附,如在数字图4A。

图4:(A)显示反应(1)的产物,其中MnO被氧化为MnOOH。(B)显示反应(2)的产物,其中MnO被氧化成MnO2。As(III)通过氢键物理吸附到负载Mn的表面。
与上面提出的铁基吸附不同,活性炭不参与吸附的氧化还原过程,如在铁基吸附中观察到的那样。在这种情况下,活性炭提供了一个重要的表面,化学反应可以在该表面上发生,以便砷可以被吸附并从溶液中去除。
活性炭对砷的吸附动力学
砷(V)动力学曲线使用负载金属的活性炭、标准活性炭和商业活性炭对砷(V)的吸附动力学进行了评估,结果显示在图5。对于每种碳材料,砷(V)的吸附在6小时后达到平衡。标准活性炭显示出最低的吸附容量,6小时后达到总可能吸附量的8.13±0.16%。负载铁的活性炭和负载锰的活性炭均表现出比标准活性炭更高的吸附容量,表明表面的金属负载确实提高了活性炭的吸附容量。负载铁和负载锰的活性炭在短搅拌时间和长搅拌时间下对砷的吸附均比标准活性炭有显着改善,6小时后分别达到19.90±0.71和23.21±0.23%。

彩运cy888 图5:所研究的各种活性炭的As(V)吸附动力学曲线。砷吸附以吸附百分比给出,最大吸附(即100%)为25mg/g。
彩运cy888 复合铁锰活性炭显示出最高的吸附容量,6小时后的吸附量达到总吸附量的50.93±1.17%。这表明比标准活性炭和单金属负载活性炭都有显着改进。铁锰负载活性炭的二元系统协同工作,在吸附过程中利用了上述所有吸附机制,使得吸附容量比单金属负载活性炭材料增加更多。
彩运cy888 活性炭吸附酸性水中的砷,使用金属掺杂活性炭吸附砷(V)和砷(III)。活性炭的金属负载导致砷的吸附能力显着增加,超过了基准商业活性炭。根据表面积和微孔率归一化的吸附能力比较表明,活性炭表面的功能性是比高表面积或大微孔率更重要的吸附因素。二元铁锰负载活性炭对砷的吸附远远超过其他研究的活性炭。活性炭的XPS显示砷吸附后活性炭上存在的铁和锰的形态发生显着变化,从而得出砷通过氧化还原反应物理吸附到负载金属的表面的结论。使用该方法生产的活性炭可有效吸附溶液中的砷物质,是使用活性炭去除水中砷污染的一种经济有效的方法。
文章标签:椰壳活性炭,果壳活性炭,煤质活性炭,木质活性炭,蜂窝活性炭,净水活性炭.推荐资讯
- 2025-10-21活性炭从碱性甘氨酸溶液中吸附铂
- 2025-10-10活性炭金属改性对氢的吸附
- 2025-09-29活性炭吸附有机微污染物
- 2025-09-17活性炭去除对羟基苯甲醚
- 2025-09-09活性炭从水溶液中吸附苯酚
- 2025-08-27活性炭从水溶液中分离甲乙酮
- 2025-08-19活性炭对钴离子的吸附与去除
- 2025-07-30活性炭用于强汞的去除
- 2025-07-23活性炭超声辅助吸附黄金
- 2025-07-16活性炭载二氧化钛协同去除二氯甲烷
- 2025-07-09活性炭从水中吸附脂多糖
- 2025-07-03活性炭净化铜污染的生物柴油
