电话:13570151199
彩运cy888传真:020-39972520
彩运cy888邮箱:hanyan@hanyancarbon.com
地址:广东省广州市番禺区东环街番禺大道北555号天安总部中心30号楼6层
活性炭吸附降低海水中硫酸根离子
沿海地区海水丰富,海盐生产具有显着优势。然而,如果杂质处理得不好,会影响海盐的质量。海盐中常见杂质如CaSO4、MgCl2和MgSO4。这些杂质源自海水中存在的各种离子,包括氯化物、钠、硫酸盐、镁、钙和钾。此外,盐中存在的杂质会促进水分吸收,并降低其咸味,可能导致食盐消耗量增加。本研究的目的是研究利用酸洗剂来提高椰壳活性炭的性能,以降低海水中硫酸根离子的含量。作为海盐生产原料的海水含有较高含量的硫酸根离子杂质。从海水中去除硫酸根离子对于最大限度地减少海盐结晶过程中的杂质至关重要。该研究使用了两种类型的活性炭:未经进一步处理的活性炭和酸洗活性炭。
吸附海水中的硫酸根离子
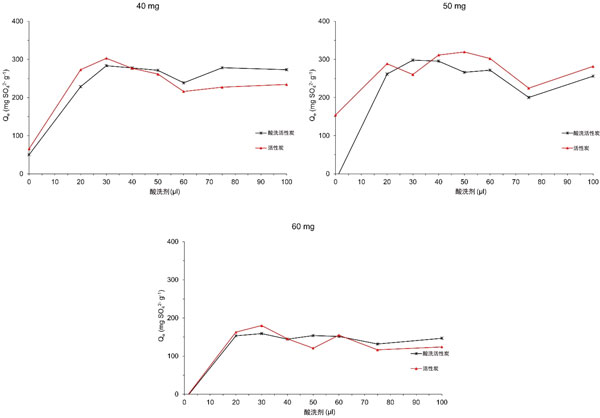
实验中获得的吸附结果在图1描述。当不添加酸洗剂时,两种活性炭在用量为40mg时都表现出相对较低的硫酸根离子吸附量。将活性炭用量增加至50mg导致活性炭的硫酸盐吸附增加,而酸洗活性炭的硫酸盐吸附减少。然而,当用量进一步增加至60mg时,两种活性炭类型的硫酸根离子吸附均未观察到显着变化。海水中存在多种离子,为硫酸根离子在活性炭上的吸附创造了竞争环境。海水中钠、氯、镁等离子浓度较高促进了吸附位点的竞争,从而限制了硫酸根离子的吸附。此外,海水相对较高的pH值也可能影响吸附过程。众所周知,在较高的pH值下,活性炭往往对阳离子而不是阴离子表现出更好的吸附作用。这些因素可能导致在没有酸洗的情况下观察到的吸附量相对较低。

彩运cy888 图1:添加酸洗剂的活性炭用量为40、50和60mg时的硫酸根离子吸附能力。
活性炭的物理特性
活性炭的物理性质、比表面积和孔径决定了活性炭的吸附能力。活性炭的形态受到碳材料活化方法的影响。本实验中使用的碳是通过蒸汽法活化的。该方法形成孔并引入含氧官能团。酸洗活性炭具有经过酸洗处理的活性炭。该处理降低了灰分含量,降低了pH值,并改善了活性炭的亲水表面。酸洗活性炭的pH值低于活性炭。因此,可以预测活性炭的碱度高于酸洗活性炭。活性炭的灰分含量高于酸洗活性炭。从图2可以看出,酸洗后看起来比活性炭干净,因为无机杂质减少了。尽管有迹象表明灰分含量会影响碳碱度,但尚不清楚灰分含量对吸附能力有何影响。

彩运cy888 图2:SEM显微照片(A)酸洗活性炭(B)活性炭。
活性炭的基本功能
从水溶液(例如海水)中吸附离子依赖于吸附物(离子)和吸附剂(活性炭)之间的静电相互作用。这种相互作用受到碳材料表面功能的影响。具体而言,在阴离子吸附(例如硫酸根离子)的情况下,碱性碳表面位点的存在起着至关重要的作用。活性炭上的这些碱性位点与芳香碳环的共振π电子相关,该电子对质子具有亲和力。活性炭的基本表面官能团包括具有基本特征的含氧基团,例如色烯结构、二酮或醌基团以及类吡喃酮基团。此外,含氮官能团还可以增强活性炭的碱性。
酸洗对活性炭吸附硫酸根离子的作用
尽管酸洗活性炭的表面特征表明其在孔体积和官能团方面具有优越性,但未经进一步处理的活性炭的吸附容量高于酸洗活性炭。这一观察结果可以通过将硬酸和软酸和碱概念应用于活性炭来解释,海水中发现的主要离子由硬酸和硬碱组成,它们与活性炭表面存在的官能团的相互作用可以使用这个概念来解释。当海水与活性炭混合时,碳表面的官能团发生电离。位于碳基面边缘或末端的基本官能团表现出高反应性并最初与硫酸根离子相互作用。然而,在正常pH条件下,酸洗活性炭和活性炭中硫酸根离子的吸附量都很小。这可能是由于硫酸根离子与共存阴离子(例如氯离子、磷酸根和硝酸根)之间竞争吸附在活性炭的官能团上。增加活性炭的用量会在溶液中引入更多的官能团,但尽管酸洗活性炭具有更多的碱性官能团,但与活性炭相比,酸洗活性炭的硫酸盐吸附量较低。
研究的强度和局限性
实验结果表明,未经额外处理的活性炭在硫酸根离子吸附方面优于酸洗活性炭。此外,由于需要额外的酸洗过程,酸洗活性炭的成本较高。然而,应该指出的是,活性炭中的吸附率随着酸洗剂浓度的增加而实现。因此,在优化活性炭类型、用量和酸洗剂浓度的组合时,有必要考虑技术经济方面,因为目前的研究并未考虑这一方面。尽管存在这种限制,但考虑到活性炭的承受能力,这种方法可以作为净化海盐的可行替代方案。
活性炭吸附降低海水中硫酸根离子的研究表明,添加酸洗剂可以增强椰壳活性炭对海水中硫酸根离子的吸附能力。在研究中使用的两种活性炭中,与酸洗活性炭相比,未经处理的活性炭表现出更高的硫酸根离子去除能力。酸洗剂在增加溶液中水合氢离子的浓度方面发挥着至关重要的作用。硫酸根离子的吸附首先发生在碱性官能团处,随后通过水合氢离子的存在而发生在碳基面上。活性炭在碳基面上比酸洗活性炭拥有更多的碱性位点,这使得活性炭在吸引水合氢离子以结合海水中的硫酸根离子方面具有优异的性能。
文章标签:椰壳活性炭,果壳活性炭,煤质活性炭,木质活性炭,蜂窝活性炭,净水活性炭.推荐资讯
- 2025-10-21活性炭从碱性甘氨酸溶液中吸附铂
- 2025-10-10活性炭金属改性对氢的吸附
- 2025-09-29活性炭吸附有机微污染物
- 2025-09-17活性炭去除对羟基苯甲醚
- 2025-09-09活性炭从水溶液中吸附苯酚
- 2025-08-27活性炭从水溶液中分离甲乙酮
- 2025-08-19活性炭对钴离子的吸附与去除
- 2025-07-30活性炭用于强汞的去除
- 2025-07-23活性炭超声辅助吸附黄金
- 2025-07-16活性炭载二氧化钛协同去除二氯甲烷
- 2025-07-09活性炭从水中吸附脂多糖
- 2025-07-03活性炭净化铜污染的生物柴油
