电话:13570151199
彩运cy888传真:020-39972520
邮箱:hanyan@hanyancarbon.com
地址:广东省广州市番禺区东环街番禺大道北555号天安总部中心30号楼6层
活性炭脱附分离机化合物的机理
彩运cy888 VOCs产生广泛,主要来自汽车尾气排放、工业排放、煤炭和生物燃料燃烧、柴油汽油或天然气泄漏和挥发。VOCs是近地表O3的主要反应物之一。一些VOCs具有活泼的化学性质,进入大气后可能导致产生光化学烟雾和二次污染物,对空气质量和人类生产活动造成严重危害。本期研究了闭式循环变温脱附过程中活性炭吸附床分离挥发性有机化合物(VOCs)的机理。以不同浓度的甲苯气体作为闭式循环变温脱附气体,再生甲苯饱和的活性炭床层。
吸附实验装置和方法
动态吸附技术用于测量甲苯吸附平衡等温线。图1描述了实验装置。通过该装置获得吸附饱和的活性炭。在不同的温度和浓度下,测量了甲苯的饱和吸附容量。入口温度和甲苯浓度设定为25–180℃和5–50g/m3。活性炭吸附的甲苯气体浓度为15g/m3。使用重量分析技术测量吸附等温线。实验装置以实验室环境空气为气源,通过鼓风机将空气送入装置。在硅胶干燥装置中除去水蒸气后,通过数显质量流量计的控制,按计算出的比例分成两路。单向气流以设定浓度进入气体发生装置,即甲苯挥发后的载气,在气体缓冲室中与反向流动的稀释气体充分混合后进入吸附系统。在吸附系统中,吸附柱紧密均匀地填充CTC100活性炭颗粒,并用铁架垂直放置在设定实验温度的恒温干燥箱中。混合甲苯气体首先在恒温干燥箱内通过气体预热管道达到实验温度,然后进入装有活性炭的吸附柱进行吸附实验。吸附气体通过检测口进入检测系统,智能FID通过连续采样测量甲苯出口浓度。当气体发生装置产生的入口浓度与智能FID检测的出口浓度一致时,吸附柱中的活性炭达到吸附平衡。吸附气体通过检测口进入检测系统,智能FID通过连续采样测量甲苯出口浓度。当气体发生装置产生的入口浓度与智能FID检测的出口浓度一致时,吸附柱中的活性炭达到吸附平衡。吸附气体通过检测口进入检测系统,智能FID通过连续采样测量甲苯出口浓度。当气体发生装置产生的入口浓度与智能FID检测的出口浓度一致时,吸附柱中的活性炭达到吸附平衡。

图1:动态吸附实验装置。
彩运cy888 然后,我们使用脱附实验装置进行实验,观察污染物从活性炭层分离的情况。图2描述了实验装置。在0.2m/s横截面风速和150℃解吸温度条件下,饱和活性炭被浓度为2、5和10g/m3的甲苯气体解吸。活性炭层高300毫米。图1实验装置同加载方式用于产生一定浓度的甲苯气体,通入恒温干燥箱中的脱附单元。三根石英玻璃柱,每根长10厘米,内径4厘米,组成解吸单元。石英玻璃解吸柱底部填充5mm厚的石英砂层以支撑活性炭并保证气流均匀。饱和活性炭在不同工况下脱附两个小时,每个检测口用连续监测。实验结束后,我们用天平称量脱附后的活性炭。

彩运cy888 图2:解吸实验装置。
闭式循环变温脱附脱附浓度和脱附量分析
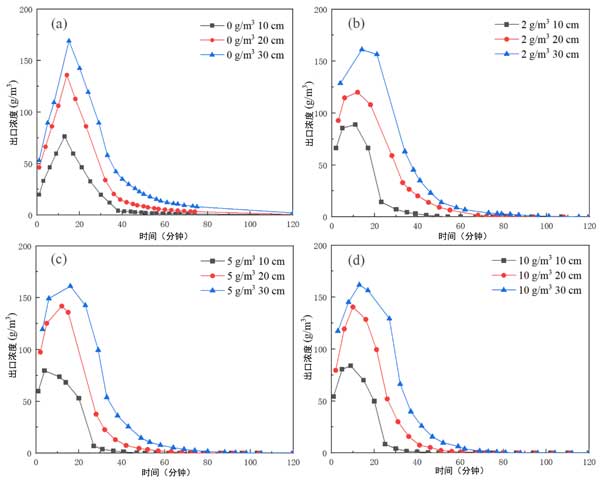
为了探究不同甲苯气体入口浓度对闭式循环变温吸附中活性炭解吸传质过程的影响,我们设计了四种不同的工况。入口浓度为0、2、5和10g/m3。我们使用FID监测每个床出口处的甲苯气体浓度。解吸单元由三层解吸柱组成。图3显示了具有不同背景浓度(去除背景浓度)的每个床出口处的出口浓度曲线。

图3:具有不同背景浓度的每个床出口的甲苯气体出口浓度曲线。(a)0g/m3,(b)2g/m3,(c)5g/m3,(d)10g/m3。
在所有背景浓度的脱附浓度曲线中,各床层出口段甲苯浓度迅速上升到一个峰值,然后迅速下降,最后稳定在背景浓度。10cm处测得的甲苯出口浓度达到峰值时间最短,峰值浓度最低。整个实验过程中10cm处的出口浓度最低,完成脱附达到平衡的时间最短。30cm处达到峰浓度的时间最长,峰浓度最高。在整个实验过程中,30cm处的出口浓度始终是最高的,完成解吸的时间也是最长的。这是因为在活性炭解吸过程中,后端活性炭床连续吸附前端脱附的高浓度甲苯。前端活性炭床脱附浓度迅速下降后,后端活性炭床不再受前端脱附影响,完全开始脱附。
我们在图3中比较了不同背景浓度下的出口浓度曲线。在不同的背景浓度下,达到峰值的时间没有明显变化,峰值没有明显增加或减少。随着背景浓度的不断增加,从完全脱附到平衡稳定的时间缩短。这是因为引入特定浓度的甲苯进行解吸增加了解吸平衡的出口浓度。通过对图3中脱附浓度曲线进行积分,得到不同背景浓度下各床层单元活性炭出口甲苯脱附量。各床层单位活性炭甲苯脱附量从零开始,短时间内迅速上升,然后趋于平稳稳定。单位活性炭在10cm处的甲苯脱附量最高,达到拐点稳定的时间最快。单位活性炭在30cm处的甲苯脱附量最低,达到拐点稳定的时间最慢。最后,每层单位活性炭的甲苯脱附量相等。
闭式循环变温脱附动态模拟分析
彩运cy888 为了研究不同背景浓度的闭式循环变温脱附对活性炭层中吸附质迁移的影响,通过研究脱附速率,研究了脱附过程中甲苯在活性炭床层之间的脱附动力学。当饱和活性炭被清洁气体解吸时,解吸速率常数较低。Bangham常数随着背景浓度的增加而增加。三种动力学模型的解吸速率常数随着活性炭床长的增加而降低。这类似于平均脱附率和瞬时脱附率的分析。表明在闭环吸附条件下,当吹扫一定浓度的甲苯时,活性炭的浓差极化层被破坏。外扩散传质效果增强的同时,内传质阻力降低。
活性炭脱附分离机化合物的机理,选择甲苯作为本次研究的VOC代表目标污染物。以脱附量、平均脱附率和瞬时脱附率作为评价因素,模拟了活性炭层长、脱附气体本底浓度等工艺条件。从实验结果得出结论,活性炭脱附时,后端活性炭床不断吸收前端脱附的高浓度甲苯。前端活性炭床脱附浓度迅速下降后,后端活性炭床不再受前端脱附影响,开始完全脱附。当本底浓度为0g/m3时,活性炭在20和30cm处120min的甲苯脱附量最大,均为0.403g/g。不同背景浓度下的平均解吸速率均呈现先上升后下降的趋势,在相同的解吸温度和截面风速下,背景浓度越高,解吸量越大在每个床出口和到达的时间越快。本研究将为更广泛、更精确、更高效地应用活性炭闭式循环变温脱附VOCs提供理论框架。
文章标签:椰壳活性炭,果壳活性炭,煤质活性炭,木质活性炭,蜂窝活性炭,净水活性炭.推荐资讯
- 2025-10-21活性炭从碱性甘氨酸溶液中吸附铂
- 2025-10-10活性炭金属改性对氢的吸附
- 2025-09-29活性炭吸附有机微污染物
- 2025-09-17活性炭去除对羟基苯甲醚
- 2025-09-09活性炭从水溶液中吸附苯酚
- 2025-08-27活性炭从水溶液中分离甲乙酮
- 2025-08-19活性炭对钴离子的吸附与去除
- 2025-07-30活性炭用于强汞的去除
- 2025-07-23活性炭超声辅助吸附黄金
- 2025-07-16活性炭载二氧化钛协同去除二氯甲烷
- 2025-07-09活性炭从水中吸附脂多糖
- 2025-07-03活性炭净化铜污染的生物柴油
