彩运cy888电话:13570151199
彩运cy888传真:020-39972520
彩运cy888邮箱:hanyan@hanyancarbon.com
彩运cy888地址:广东省广州市番禺区东环街番禺大道北555号天安总部中心30号楼6层
活性炭增值厌氧沼渣栽培螺旋藻
厌氧消化是将有机物转化为沼气的生物过程,通过厌氧消化过程增加的沼气产量引起了对液体消化物管理的一些问题,如果处理不当,可能会带来一些环境风险。在处理消化物的不同技术中,微藻和蓝藻培养已成为一种可持续的方法,可以在消化物中产生有价值的生物质,用于生产生物燃料和高价值生物产品。然而,液体消化物的内在参数可以强烈限制微藻或蓝细菌的生长以及限制残余营养物的吸收。在这项研究中,活性炭的处理潜力在螺旋藻之前对农业工业液体沼渣进行了评估栽培。
厌氧消化物和活性炭
彩运cy888 使用的沼渣是在沼气厂收集的,该工业厂房由两个7000m3的消化池组成,在中温条件下运行,平均产生511Nm3/h的甲烷。原料主要由农业残留物、动物粪便和食物垃圾组成。消化液直接从消化罐中取样,随后以50µm过滤以去除大颗粒。过滤后,在测试不同的吸附剂之前将其储存在-20℃。活性炭在高于 800℃的温度下对材料进行了热活化。在本研究中,通过混合20mL消化物和不同吸附剂浓度(5、10、25、50和100g/L)进行消化物预处理实验。将混合物在室温下以250rpm的速度保持搅拌2小时。在实验结束时,双相系统以10,000rpm离心5分钟,上清液在分析前用1.6µm过滤器过滤)。
蓝藻培养试验
钝顶螺旋藻将菌株在位于温室的气泡柱光生物反应器中培养并维持数天,并提供培养基(用软化水稀释两次)和8g/L-NaHCO3。培养45天后,钝顶藻培养物的光密度(680nm处)达到1.6,然后用作接种物。使用200mL的工作体积在250mL管中进行蓝藻培养测定。接种体积固定为总工作体积的20%。用软化水和藻类接种物稀释处理过的消化物和原始消化物,以达到20×、40×和60×的适当稀释倍数。为了评估是否有任何营养物质从接种物转移到培养基中,将阴性对照在相同条件下仅用软化水培养。在相同条件下研究了使用培养基的阳性对照。使用16/8小时的光/暗循环,人工光以60µmol/m2/s的平均强度照亮管子。通过以0.5–1L/min的流速连续注入空气,使培养物保持搅拌状态。
活性炭吸附试验
厌氧消化过程产生的液体消化物是一种复杂的副产品,存在各种顽固化合物,通常会抑制蓝藻增殖。因此,吸附预处理可用于降低消化物的整体毒性,以促进蓝藻生长和养分吸收。然而,应深入研究选择合适的吸附条件,以实现高解毒反应和相对较低的运行成本。
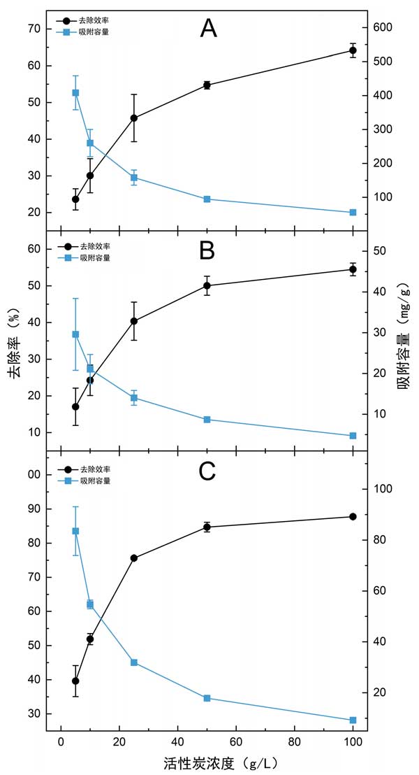
彩运cy888 不同浓度的活性炭对整体沼渣解毒性能表现出不同的反应(图1)。一般来说,吸附容量在低吸附剂用量时相对较高,随着COD、磷酸盐和苯酚参数的吸附剂浓度的增加而降低。在相同参数的去除效率的情况下观察到相反的行为。例如,COD去除率从23.6%到64.2%不等,同时将吸附剂浓度从5g/L增加到100g/L(图1A)。然而,统计分析表明,将吸附剂浓度从50增加到100g/L对COD去除效率没有任何显着影响(p-值>0.05)。使用100和5g/L的活性炭分别实现了54.5%的最高磷酸盐去除率和29.6mg/g的吸附容量(图1B)。正如对COD所观察到的那样,磷酸盐吸附能力随着解毒测试中使用的活性炭数量的增加而降低。此外,活性炭与消化物中存在的酚类化合物具有高度反应性。即使在5g/L的最低吸附剂浓度下,反应2小时后也去除了39.6%的初始苯酚浓度,对应的吸附容量为83.5mg/g(图1C)。然后随着活性炭浓度的升高,苯酚去除效率增加。在50g/L的活性炭下,从消化物中吸收了高达84.7%的苯酚,发现这与在100g/L下进行的处理具有相同的显着性水平(去除了87.8%的苯酚)。

图1:用几种浓度的活性炭处理农用工业沼渣时,计算的COD(A)、PO4-P(B)和总酚(C)参数的吸附容量和去除效率。
栽培和生长特性
厌氧消化物中存在的大量和微量营养素的多样性可能有利于蓝藻代谢。即使活性炭预处理显着降低了几个参数,包括COD、浊度和苯酚含量,原料(4405mg/L)和预处理消化物(4220mg/L)的铵浓度仍然高于蓝藻螺旋藻支持的阈值浓度(100–150毫克/升)。在这种情况下,使用以三种不同稀释率稀释的原始和预处理消化物进行了一系列蓝藻毒性测定:20×、40×和60×。未稀释的消化物,无论是否用活性炭处理,都没有在本实验中进行测试,因为初步培养分析表明它们对培养物毒性太大(数据未显示)。因此,该实验的目的是比较以不同稀释率稀释的两种消化物以及两个对照组之间的生长性能。连续测量680nm处的OD超过10天,以评估所有条件下的生长情况。在三种不同稀释因子下测试的原始消化物(RD)和处理过的消化物(TD)条件下,观察到类似生长趋势(图2A、B)。当增加原始和预处理消化物的培养基稀释倍数时,会产生更高的生长反应。同样,滞后期受原始消化物和预处理消化物的稀释因子的影响,观察到的滞后期越长,消化物越浓缩。例如,稀释20倍和40倍的未处理消化物的滞后期分别持续4天和2天。在本研究中,根据稀释倍数和预处理条件,使用221和71mg/L之间的初始铵氮(NH4+-N)浓度,钝顶藻能够增殖。一般而言,原始消化物和预处理消化物的更高稀释度产生更高的生长。

彩运cy888 图2:使用两个对照组(A)以及以不同稀释倍数(20×、40×和60×)稀释的原始消化物(B)和处理过的消化物(C)的钝顶螺旋藻生长曲线。阳性和阴性对照分别指使用合成培养基和软化水。
彩运cy888 活性炭增值厌氧沼渣栽培螺旋藻,本研究中使用的活性炭对最初存在于农业工业沼渣中的几种化合物具有显着的吸附特性,包括颜色、苯酚、COD和磷酸盐。一般来说,增加活性炭剂量会产生更高的去除效率,但会大大降低材料的吸附能力。另一方面,活性炭吸附剂对氨氮去除的影响可以忽略不计,所有研究的吸附剂剂量(≤100g/L)的初始浓度几乎没有变化。因此,必须稀释预处理过的消化物(至少20倍),以降低铵的毒性并促进培养试验期间的钝顶藻增殖。将活性炭预处理与其他技术如离子交换材料(树脂、沸石、粘土等)相结合以去除铵,可能是在不使用淡水输入的情况下使用可持续蓝藻培养基对厌氧消化沼渣进行增值的解决方案。
文章标签:椰壳活性炭,果壳活性炭,煤质活性炭,木质活性炭,蜂窝活性炭,净水活性炭.推荐资讯
- 2025-10-21活性炭从碱性甘氨酸溶液中吸附铂
- 2025-10-10活性炭金属改性对氢的吸附
- 2025-09-29活性炭吸附有机微污染物
- 2025-09-17活性炭去除对羟基苯甲醚
- 2025-09-09活性炭从水溶液中吸附苯酚
- 2025-08-27活性炭从水溶液中分离甲乙酮
- 2025-08-19活性炭对钴离子的吸附与去除
- 2025-07-30活性炭用于强汞的去除
- 2025-07-23活性炭超声辅助吸附黄金
- 2025-07-16活性炭载二氧化钛协同去除二氯甲烷
- 2025-07-09活性炭从水中吸附脂多糖
- 2025-07-03活性炭净化铜污染的生物柴油
