电话:13570151199
传真:020-39972520
彩运cy888邮箱:hanyan@hanyancarbon.com
地址:广东省广州市番禺区东环街番禺大道北555号天安总部中心30号楼6层
活性炭吸附处理高COD染色废水
现代纺织印染行业常用的染料种类繁多。有不同类型的染料,例如酸性染料、活性染料和分散染料,分别用于动物、植物和人造纤维的染色。染料的化学性质差异很大,一些染料及其衍生物对环境危害很大。染色过程中广泛采用的节水策略经常由于化学需氧量(COD)过载而导致工厂的生物废水处理装置失效。为了处理这个问题,研究了一种可再生的吸附-氧化工艺来处理COD,主要使用高度纳米孔活性炭作为COD吸附剂。
本研究提出分两步处理高COD染色废水:一是用活性炭吸附染料,二是用高剂量过氧化氢处理吸附的染料。由于COD饱和活性炭的水较少,过氧化量可以显着减少。此外,精确的过氧化物剂量可以去除活性炭表面吸附的COD,同时对活性炭结构的破坏最小,从而可以重复使用再生活性炭。为了测试所提出的可再生吸附-氧化处理的适用性,收集了高COD进水并用于检查活性炭的性能,以及pH和温度的操作吸附条件。
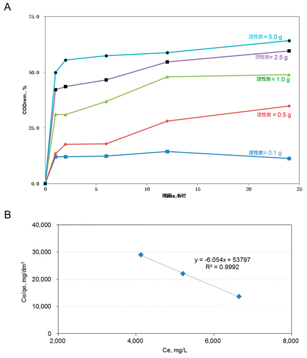
活性炭吸附COD染色废水
彩运cy888 对于活性炭吸附,使用0.1至5g活性炭从60mL染色废水中去除的COD百分比如图1A所示。活性炭量越大从废水中去除的COD越多。使用5克活性炭,COD去除率达到60%以上,并且可能无法实现更高的去除率,因为活性炭不会吸附纤维碎片或染色化学品团块等较大的颗粒。图1B显示了COD浓度(Ce)与吸附容量(qe)与Ce的关系图。由于线性关系符合Langmuir等温线,因此相应的大吸附容量(qmax),等于拟合线斜率值的1,等于0.165。0.9992的高R2值表明所采用的Langmuir模型具有良好的拟合度。这些结果表明,使用活性炭去除测试60mL废水中50%COD是可行的。COD减少50%将使微生物消耗活性污泥池中可缓慢生物降解的分散染料的水力停留时间大约增加一倍。

彩运cy888 图1:使用过的活性炭的吸附特性。(A)去除的COD百分比与用于吸附染色废水COD的活性炭量的关系图。(B)Ce/qe比率与Ce的关系图。
活性炭的再生吸附效果
第一次活性炭再生的结果表明,再生活性炭比原始活性炭吸附了更多的染料(高达7%)。经过连续吸附-氧化操作的结果表明,在四次吸附运行中去除了52%的COD,持续实现了超过50%的COD(图2)。通过与再生和非再生运行(11个循环)之间的累积COD吸附进行比较,我们发现5g再生活性炭在再生情况下每个循环可以吸附0.3625g-COD。平均而言,活性炭在每个吸附步骤中的吸附容量(q)值等于0.0725g-COD/g-活性炭。根据之前的物质平衡结果,吸附的COD可能被氧化,因此孔空位可以在下一个循环中再次用于吸收COD。

图2:COD去除百分比与活性炭再生次数的关系图。
染色废水处理建议
根据获得的数据和当前的纱线染色工艺,使用所提出的两步处理系统处理来自常用的200L染浴的高COD染色废水看起来适用,并提出了建议如图3所示。据我们所知,目前运营的染色设施中没有这种建议的设置。设计容积(即200L)足以容纳一批染缸出水,使高COD废水可直接进入拟建装置的吸附和再生。根据结果,去除50-60%的COD将大大减少回流到平衡罐的COD,从而避免现有厂内生物处理单元的过载情况。为了运行所提议的装置,首先,将来自染色池的一定量的高COD废水引导至充满指定活性炭的反应单元(如果处理120L废水,则为20kg)进行24小时吸附。由于结果表明染浴出水COD在酸性pH值下吸附更多,二是对处理后的废水进行筛分,24小时后排至其废水处理设施的头部(即平衡池)。第三,分别串联添加初始浓度为2.12mmol/dm3和2.5%的乙二胺四乙酸铁钠和过氧化氢,以启动活性炭再生1小时。从连续运行来看,两步法处理高COD染色废水的应用前景看好。然而,我们确实注意到该技术的当前应用可能仅限于染浴设计及其操作。染浴的高COD流出物发生在染色过程的第一次排放,但对于大多数可用的染浴操作,根据不同的COD浓度对每批流出物进行分离是不适用的。一些染色装置或染色工艺的改造被认为是必要的。

彩运cy888 图3:直接处理来自200L的高COD染色废水的两步处理装置的建议布局。
活性炭吸附处理高COD染色废水,研究中使用5g活性炭从60mL分散的富含染料的废水中吸附50-60%的COD。所用活性炭的吸附容量约为0.165g-COD/g-活性炭。在使用活性炭进行COD吸附操作期间,无需调整pH或温度。总体而言,使用活性炭吸附浓缩印染废水的COD,其次是乙二胺四乙酸铁钠催化,饱和活性炭的过氧化物氧化处理可能是去除高COD染色废水的有前景的替代方案,其氧化剂更少,COD处理效率更高。并且提出了一个按比例放大的200L吸附-再生装置,并解决了其操作过程和潜在限制。
文章标签:椰壳活性炭,果壳活性炭,煤质活性炭,木质活性炭,蜂窝活性炭,净水活性炭.推荐资讯
- 2025-10-21活性炭从碱性甘氨酸溶液中吸附铂
- 2025-10-10活性炭金属改性对氢的吸附
- 2025-09-29活性炭吸附有机微污染物
- 2025-09-17活性炭去除对羟基苯甲醚
- 2025-09-09活性炭从水溶液中吸附苯酚
- 2025-08-27活性炭从水溶液中分离甲乙酮
- 2025-08-19活性炭对钴离子的吸附与去除
- 2025-07-30活性炭用于强汞的去除
- 2025-07-23活性炭超声辅助吸附黄金
- 2025-07-16活性炭载二氧化钛协同去除二氯甲烷
- 2025-07-09活性炭从水中吸附脂多糖
- 2025-07-03活性炭净化铜污染的生物柴油
