电话:13570151199
传真:020-39972520
邮箱:hanyan@hanyancarbon.com
地址:广东省广州市番禺区东环街番禺大道北555号天安总部中心30号楼6层
活性炭催化降解邻氯苯酚
二恶英统称为多氯二苯并呋喃和多氯二苯并二恶英。环境中大约90%的二恶英是由人类工业过程产生的,主要来自垃圾焚烧、化学生产、金属冶炼和造纸工业。不同来源的二恶英的排放机制和状态差异很大。为此,二恶英已成为久性有机污染物减排的重点。由于二恶英比较危险,邻氯苯酚因其结构相似性而被选为研究化合物。然后我们比较了不同方法改性的活性炭对邻氯苯酚的催化降解性能。
彩运cy888 活性炭催化活性可以通过用HNO3和NH3·H2O等基团修饰活性炭表面来提高。为了比较这些变化的活性炭催化性能,使用化学处理和金属改性合成了两种类型的碳基催化剂。在固定床反应器中对催化剂进行评估,并使用气相色谱-质谱法检测气态产物。最后,根据拉曼、X射线光电子能谱和N2吸附-解吸等温线分析的结果,提出了催化机制。
不同催化剂对邻氯苯酚氧化的催化性能
催化试验期间下游邻氯苯酚浓度的演变如图1a所示。如图所示,邻氯苯酚达到饱和需要40分钟,完全渗透到催化剂中需要约60分钟。最初,当温度升高时,邻氯苯酚信号急剧增加,但在30分钟后变得平坦。这种现象在150到210℃的温度下更为明显,如图1b所示。当温度高于210℃时,这种现象不像以前那么明显,这可能是由于高温下邻氯苯酚的去除作用。

图1:(a)催化试验期间下游邻氯苯酚浓度的演变。(b)图(a)150至210℃的局部放大率。
彩运cy888 对于通过化学试剂和热处理改性的活性炭,邻氯苯酚氧化在270°C以下几乎不发生。事实上,除了另外两种催化剂活化的活性炭外,即使在330℃下,转化率仍然低于25%。总体来说,原活性炭的催化活性相当不突出,氨水改性活性炭在330℃时将邻氯苯酚转化率提高到82.3%,而其他改性活性炭在该温度下将邻氯苯酚转化率提高到93.3%。这些催化剂表明表面改性和金属浸渍都可以提高活性炭的催化性能。具体而言,活性炭上的含氮官能团可以作为活性位点,尽管催化剂的催化活性相对高于含氮官能团。
活性炭的催化机理
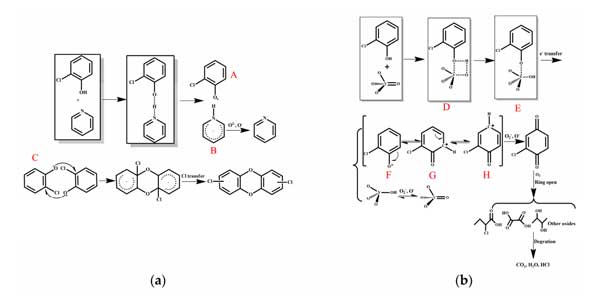
用含氮分子(如氨)处理活性炭可以引入氮官能团,而吡啶是最重要的此类物质。也就是说,SCR反硝化水平的提高与活性炭表面上存在更高比例的吡啶分子有关。然而,吡啶在催化机制中的作用仍不确定。吡啶具有富电子结构,其催化能力可能源于其氮原子的碱性。此外,二恶英的合成是自由基型反应,吡啶等富电子结构的存在会促进自由基的形成。基于上述分析,图2a中提出了反应机理。在加热下,吡啶上的氮原子从邻氯苯酚上的酚羟基中夺取氢原子,生成自由基A。两个自由基A分子的不同碰撞位点可以产生不同的聚合物产物。以图2a中的途径C为例,反应产生二氯PCDD。显然,芳香环上羟基和氯基团的存在和位置导致形成不同的产物。途径C可能是最不可能的情况,这就是为什么只观察到少量的PCD产物。在分子氧的存在下,自由基C被氧化成吡啶。由以上论据可以推断,当氮改性活性炭用于SCR催化反应时,尤其是在氯原子、苯环和氧存在的情况下,再生过程中可能存在二恶英合成和逸出的风险。
彩运cy888 已经使用包括氯苯和多氯苯在内的模型物质提出了氧化的各种机制。邻氯苯酚的氧化可能具有独特的机制。基于本文提出的集体结果,提出了活性炭表面上邻氯苯酚降解的反应机制(图2b)。对于活性炭,邻氯苯酚反应形成过渡态D,包括氧化钒和钒的双键氧原子,其迅速转变为E。随后,发生电子转移以形成带正电荷的氧化合物F,将钒(V)还原为钒(IV)。请注意,化合物F、碳正离子G和H是共振形式。在分子氧存在下,H进一步氧化为邻氯苯醌。邻氯苯醌与氧发生开环反应,生成各种酸、醇和其他小分子物质,形成最终产物,如COx、H2O和HCl。钒(IV)可以被分子氧重新氧化,恢复原状。

图2:邻氯苯酚氧化的反应机制,包括(a)氨改性活性炭和(b)其他改性活性炭。
活性炭催化降解邻氯苯酚,研究测试中合成了一系列具有不同改性方法的活性炭基催化剂,并将其用作气相降解邻氯苯酚的催化剂。对于化学处理的催化剂,复合改性的活性炭催化效果略好于氨改性活性炭,在330℃时去除效率为82.3%。对于金属改性催化剂,金属改性活性炭和其他改性活性炭在330℃下表现出类似的去除效率性能,为93.3%。大多数催化产物被转化为碳氧化物。邻氯苯酚的完全氧化降解是通过金属改性活性炭而不是氨改性活性炭实现的, 每种催化剂通过不同的反应机制运行。
文章标签:椰壳活性炭,果壳活性炭,煤质活性炭,木质活性炭,蜂窝活性炭,净水活性炭.推荐资讯
- 2025-10-21活性炭从碱性甘氨酸溶液中吸附铂
- 2025-10-10活性炭金属改性对氢的吸附
- 2025-09-29活性炭吸附有机微污染物
- 2025-09-17活性炭去除对羟基苯甲醚
- 2025-09-09活性炭从水溶液中吸附苯酚
- 2025-08-27活性炭从水溶液中分离甲乙酮
- 2025-08-19活性炭对钴离子的吸附与去除
- 2025-07-30活性炭用于强汞的去除
- 2025-07-23活性炭超声辅助吸附黄金
- 2025-07-16活性炭载二氧化钛协同去除二氯甲烷
- 2025-07-09活性炭从水中吸附脂多糖
- 2025-07-03活性炭净化铜污染的生物柴油
