彩运cy888电话:13570151199
传真:020-39972520
彩运cy888邮箱:hanyan@hanyancarbon.com
地址:广东省广州市番禺区东环街番禺大道北555号天安总部中心30号楼6层
活性炭吸附精制棕榈油中的有害物
彩运cy888 棕榈油可用于生产其衍生产品,如食用油和人造黄油。该过程包括两个主要步骤:提取和精炼。在提取步骤中,生产粗棕榈油。然后,粗棕榈油进行精炼步骤,包括物理(蒸汽)精炼、脱胶、漂白和脱臭,以生产精炼、漂白和脱臭棕榈油。然而,棕榈油被证明含有少量有害的化合物。这些有毒污染物是 3-单氯丙二醇(3-MCPD)酯和缩水甘油酯 (GE),它们是在棕榈油高温脱臭过程中形成的。本次研究准备通过活性炭吸附来降低精炼棕榈油中有害物的浓度。
棕榈油的每种衍生产品都含有3-单氯丙烷-1,2-二醇酯及其相关物质缩水甘油酯(GE)。两者都是在高温(约200℃)下通过除臭过程形成的。通常,由棕榈油生产的食用油的3-单氯丙烷和GE浓度较高。降低食用油中有害物的含量有一些缓解措施,即避免和尽量减少原料中的前体、改进、延长精炼过程以及精炼后去除酯类。这次我们使用了吸附法精炼后去除酯类,因为它成本低且不改变商业工艺。必须在除臭和分馏步骤之间添加活性炭吸附并在饱和和不饱和脂肪产品中去除。
活性炭的特性
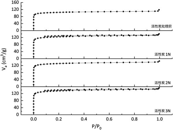
使用BET法的氮气物理吸附分析仪确定吸附剂吸附等温线并测量比表面积和孔体积。等温曲线如图1所示。图1显示处理前后的所有活性炭均为I型等温线。I型等温线表明吸附剂通常是微孔的,暴露的表面几乎完全位于微孔内部,几乎没有或没有外表面可供进一步吸附一次充满吸附质。I型向P/P0轴凹,吸附量达到极限值(P/P0→1)P/P0是相对压力,它是吸附气体平衡压力与其饱和平衡蒸汽压力的比值。图1中清楚地描述了酸处理可以增加吸附氮气的体积,这表明增加的孔体积。

彩运cy888 图1:活性炭处理前后的等温线曲线。
活性炭的吸附能力测试
用作吸附剂的活性炭是根据其在先前实验中观察到的优选特性来选择的。在圆底烧瓶内进行实验室规模的吸附(见图2)。制备3-MCPD的甲醇溶液,浓度为5、10、15和40ppm。使用2%的活性炭在40℃下吸附两小时。然后,将混合物在5000rpm和室温下离心15分钟。然后制备该溶液用于分析。

彩运cy888 图2:实验室规模活性炭吸附的仪器方案。
使用酸处理的活性炭对有害物的吸附平衡研究
氯丙醇化合物的吸附是由于活性炭表面的羧基与3-MCPD的氯化物位点发生酯化,不是羟基位点或酯位点。因此,等温线模型是用3-MCPD溶液作为被吸附物溶液的吸附来测量的。各等温线模型的线性回归图见图3,从结果来看Langmuir、Freundlich、Dubinin-Raduskevich和Temkin等温线模型具有较高的R2值,Temkin模型较高,因此是适合3-MCPD吸附的模型。

图3:活性炭对有害物吸附的等温线模型图。
彩运cy888 活性炭吸附非极性化合物(3-MCPDE和GE)或极性化合物(3-MCPD和缩水甘油)的能力也与其疏水性/亲水性有关。活性炭的疏水/亲水特性与其氧含量有关。一般来说,活性炭被表示为非极性吸附剂,因此可以吸附非极性分子3-MCPDE和GE。这导致非极性分子和活性炭之间具有很强的亲和力。然而,表现出氧的活性炭将具有极性位点。因此,活性炭具有吸附极性化合物的能力,如2-MCPD、3-MCPD和缩水甘油(非酯化形式)。先前的研究已经证明,极性化合物(例如水)可以通过氢键与活性炭结合,然后在此位置形成额外的水分子组。通过酸处理改性的活性炭可以诱导表面变得更具极性,并且还导致吸附剂更有选择性地吸附3-MCPDE、GE及其比甘油三酯更具极性的非酯化形式。总之,活性炭大多是非极性的,但也有一些极性位点。
彩运cy888 活性炭吸附精制棕榈油中的有害物,实验中的活性炭已使用酸改性。在活性炭上使用进行酸处理可得到良好的孔体积分布,已成功证明用酸处理的活性炭可以吸附3-MCPD和GE。通过使用各种等温线模型拟合平衡数据发现,活性炭可以去除精制棕榈油中约97%的GE浓度。活性炭对非极性化合物的吸附比对极性化合物的吸附效果更好。精制棕榈油中GE含量的去除效果优于使用活性炭去除3-MCPD。如果在35℃的操作温度下,GE去除率的百分比为97%。
文章标签:椰壳活性炭,果壳活性炭,煤质活性炭,木质活性炭,蜂窝活性炭,净水活性炭.推荐资讯
- 2025-10-21活性炭从碱性甘氨酸溶液中吸附铂
- 2025-10-10活性炭金属改性对氢的吸附
- 2025-09-29活性炭吸附有机微污染物
- 2025-09-17活性炭去除对羟基苯甲醚
- 2025-09-09活性炭从水溶液中吸附苯酚
- 2025-08-27活性炭从水溶液中分离甲乙酮
- 2025-08-19活性炭对钴离子的吸附与去除
- 2025-07-30活性炭用于强汞的去除
- 2025-07-23活性炭超声辅助吸附黄金
- 2025-07-16活性炭载二氧化钛协同去除二氯甲烷
- 2025-07-09活性炭从水中吸附脂多糖
- 2025-07-03活性炭净化铜污染的生物柴油
