彩运cy888电话:13570151199
传真:020-39972520
邮箱:hanyan@hanyancarbon.com
彩运cy888地址:广东省广州市番禺区东环街番禺大道北555号天安总部中心30号楼6层
氢是清洁能源,有着储量丰富对环境友好和燃烧热值高等优点,作为一种替代能源受到广泛关注。虽然氢气的易燃性导致其在储存和运输过程中存在潜在危险。但是液体有机氢化物可逆氢化-脱氢循环,便于贮存和氢的按需释放通过催化过程、高储氢能力、高能量密度、安全条件下运输方便等。所以我们开发了甲基环己烷在载铂活性炭催化剂上的脱氢反应。
环己烷、甲基环己烷、1,4-二甲基环己烷和十氢化萘都属于液态有机氢化物,它们具有高储氢容量(6-8%)和高沸点(80-200℃),以确保它们在运输过程中处于液态。其中,甲基环己烷由于其高可逆性和脱氢产物的低毒性而成为潜在材料。铂基催化剂可以选择性地激活C-H键而不断裂C-C键并显着降低活化能,但是催化剂载体对铂基催化剂的活性和稳定性起着重要作用。活性炭载体具有较大的表面积、丰富的孔结构和大量的含氧官能团,这影响了粒径、分散性和铂基催化剂的脱氢活性。氢气程序升温还原技术用于研究活性成分铂与不同功能化活性炭之间的相互作用。所以我把他们结合了,制成的多种规格的活性炭载铂催化剂,再来测试他们对甲基环己烷脱氢的效率。
活性炭催化剂的结构表征
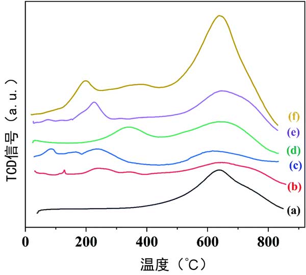
活性炭和载铂活性炭催化剂的H2-TPR曲线在图1显示,它描绘了还原机制。如图1a所示,在活性炭的H2-TPR曲线中观察到630℃的峰,这归因于活性炭的表面官能团。与活性炭相比,活性炭载铂催化剂的H2-TPR曲线(图1b)显示了在240℃和340℃处的峰值,这是由Pt-O-Pt和Pt-O-C的还原产生的,分别进一步证明了活性炭载铂催化剂的成功合成。在硫酸活化活性炭(图1c)、氨基丙基三乙氧基硅烷活化(图1d)的H2-TPR曲线中也观察到了Pt-O-Pt或Pt-O-C的还原峰)、氧化氢活化(图1e)和硝酸活化(图1f),它们可以改善金属物种的分散。此外,活性炭载铂基催化剂曲线中的还原峰小于400℃,这表明铂在甲基环己烷脱氢之前催化剂中处于金属状态。

图1:活性炭和载铂活性炭催化剂与化学活化剂活化后活性炭的H2-TPR。
甲基环己烷在活性炭载铂催化剂上脱氢
彩运cy888 图2为甲基环己烷到甲苯的转化曲线和以载铂活性炭、载铂硫酸活化活性炭、过氧化氢活化、硝酸和氨基丙基三乙氧基硅烷活化为催化剂随反应温度的析氢直方图300℃和5小时的空间速度。如图2A所示,使用载铂活性炭作为催化剂的甲基环己烷的转化率最初约为21.2%,但在12小时后急剧下降至8.64%,这可能是由于活性炭催化剂的团聚所致。相比之下,采用硫酸活化载铂活性炭作为催化剂的甲基环己烷的转化率最初约为66.3%,12小时后略有下降至61%,比物理活化的载铂活性炭更高且更稳定。它可能受益于活性炭内的高度分散和小粒径。然而,以其他活化方法的载铂活性炭催化剂的甲基环己烷的转化率远低于物理活化的载铂活性炭,这表明稀硝酸、过氧化氢和氨丙基三乙氧基硅烷不适合处理活性炭以催化甲基环己烷的脱氢。甲基环己烷使用载铂活性炭、硫酸活化载铂活性炭的平均转化值在图2B显示。

图2:(A)甲基环己烷脱氢为甲苯的转化曲线和(B)活性炭载铂催化剂上的析氢直方图。
回收研究
进行回收试验以研究活性炭催化剂的异质性和稳定性。第一次催化反应完成后,过滤回收活性炭载铂催化剂(硫酸活化),用蒸馏水洗涤,55℃真空干燥12小时,重新用于第二次催化反应。在另外三个运行中实施了相同的操作。同时,在第一次运行后,通过检测回收的活性炭催化剂和滤液中的铂量。图3展示了回收试验的结果。观察到甲基环己烷的转化率在59.8-64.4%范围内有小幅波动,表明活性炭催化剂的活性在重复使用4次后几乎没有下降,表明活性炭催化剂具有良好的稳定性。第一次运行后,反应中的铂浸出量为0.33ppm。当铂催化剂从反应体系中过滤出来时,在滤液中很少观察到催化反应,这证明了活性炭载体上的铂作为非均相活性位点。

图3:活性炭载铂催化剂(硫酸活化)催化剂的回收研究。
彩运cy888 在活性炭催化剂对甲基环己烷脱氢的研究中。证明了活性成分铂和各种功能化活性炭载体之间的相互作用。与其他铂基催化剂相比,活性炭载铂催化剂(硫酸活化)显示出更小的粒径和更高的分散性。在研究了铂基催化剂在甲基环己烷脱氢反应中的催化活性。回收研究表明活性炭催化剂具有良好的稳定性和铂组分的多相活性位点。催化反应结果表明,活性炭催化剂表现出比其他催化剂更高的甲基环己烷转化率更高,很适合用于液态有机氢化物的脱氢。
文章标签:椰壳活性炭,果壳活性炭,煤质活性炭,木质活性炭,蜂窝活性炭,净水活性炭.推荐资讯
- 2025-10-21活性炭从碱性甘氨酸溶液中吸附铂
- 2025-10-10活性炭金属改性对氢的吸附
- 2025-09-29活性炭吸附有机微污染物
- 2025-09-17活性炭去除对羟基苯甲醚
- 2025-09-09活性炭从水溶液中吸附苯酚
- 2025-08-27活性炭从水溶液中分离甲乙酮
- 2025-08-19活性炭对钴离子的吸附与去除
- 2025-07-30活性炭用于强汞的去除
- 2025-07-23活性炭超声辅助吸附黄金
- 2025-07-16活性炭载二氧化钛协同去除二氯甲烷
- 2025-07-09活性炭从水中吸附脂多糖
- 2025-07-03活性炭净化铜污染的生物柴油
