电话:13570151199
彩运cy888传真:020-39972520
邮箱:hanyan@hanyancarbon.com
彩运cy888地址:广东省广州市番禺区东环街番禺大道北555号天安总部中心30号楼6层
彩运cy888 酸性活性炭催化回收纤维二糖,活性炭通过重氮偶合策略被磺酸部分官能化,可获得高酸度。
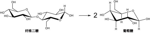
使用活性炭催化回收纤维二糖,纤维素水解成葡萄糖的主要原因是葡萄糖可以进一步转化为各种增值化学品,在工业上,常见的处理纤维素的方法是使用均质的无机酸,例如HCl或H 2 SO 4,这种方法的缺点是反应容器受到腐蚀,还会产生污染物。在此,我们使用了一种将纤维二糖选择性水解为葡萄糖的有效方法(图1)使用酸性活性炭材料。

彩运cy888 图1:纤维二糖水解成葡萄糖。
使用酸性活性炭的原因
对于有些制造方法生产的活性炭本身就具有酸性功能,例如酚,羧酸或内酯。但是,这些酸性功能不够强或不能以足以催化糖苷键水解的量存在。需要强酸位点,如磺酸。通常,被H 2 SO 4官能化的活性炭彩运cy888会产生不稳定的磺酸官能团,在催化测试过程中容易被浸出。而且,处理过的活性炭的结构完整性通常被削弱。但是经过我们多次实验引入表面磺酸功能的功能化策略,可以与活性炭表面形成牢固的共价CC键,而不会破坏其骨架结构。
活性炭功能化的方法
活性炭已通过重氮偶联策略进行了功能化。首先磺胺酸和亚硝酸异戊酯反应,原位形成重氮阳离子。在该步骤之后,脱重氮反应将通过碳材料主链的多芳族结构中的C原子与碳原子之间牢固的共价CC键,使活性炭表面上的芳基磺酸片段偶合(图2)。这种官能化方法比在活性炭上产生磺酸官能团的常规方法(涉及硫酸)更安全,并且可以轻松扩大规模。而且,该方法对活性炭保持机械强度很温和。

图2:重氮偶合在碳材料上用于磺酸接枝。
活性炭催化回收纤维二糖
活性炭将纤维二糖水解为葡萄糖的能力(图1)在温和的条件下,即在N 2自生压力下,在130°C和1,700rpm下搅拌2小时。观察到的转化是由于在该温度下糖苷键的热裂解引起的。功能化活性炭可显着提高转化率,最高可达到94%。磺酸功能控制着水解途径,该机制将对葡萄糖的选择性提高到95%(“原始活性炭”情况下为57%)。值得注意的是,这些数据(> 90%的转化率和选择性)仅在130°C的2小时内获得。此处未观察到通常从葡萄糖获得的常见副产物,如乙酰丙酸或甲酸。无法完全排除其他产品,例如5-羟甲基糠醛,因为无法通过本工作中使用的HPLC色谱柱进行鉴定。仅鉴定了由葡萄糖异构化引起的一些果糖痕迹。但是,每次催化测试均进行了总有机物含量(TOC)分析发现没有其他气态产物形成。
在测试过程中使用的活性炭数量也会影响活性。对于SO 3 H/SX+材料。当活性炭的量太低(20mg)时,没有活性并且转化率与原始活性炭相同。当我们增加催化剂彩运cy888的用量时,就会引发酸性水解,转化率更高。但是,在所有情况下,选择性都极好(远高于原始活性炭),而与催化剂的量无关。已对纤维素纤维进行了初步测试,并观察到20%的转化率(基于测试结束时纤维素的重量损失)。
酸性活性炭是使用活性炭通过重氮偶合反应功能化,从而在其表面接枝了强酸性磺酸官能团。与未官能化的活性炭相比,官能化活性炭催化剂都改善了在惰性气氛下在中性水介质中纤维二糖在葡萄糖中的水解反应。用SO 3可获得最大84%的转化率和95%的葡萄糖选择性。此外,这些结果是在低温(130°C)下仅2小时内获得的,这有望用于水解更坚固的底物,例如纤维素。与其他功能化方法(例如用硫酸处理活性炭)相比,这些功能的坚固性也将削弱材料的机械性能。这些官能化的活性炭还可以用作金属纳米颗粒的载体,以制备双官能催化剂。酸性功能可将纤维二糖水解为葡萄糖,而金属中心可将葡萄糖转化为高价值分子,如山梨糖醇等。
文章标签:椰壳活性炭,果壳活性炭,煤质活性炭,木质活性炭,蜂窝活性炭,净水活性炭.推荐资讯
- 2025-10-21活性炭从碱性甘氨酸溶液中吸附铂
- 2025-10-10活性炭金属改性对氢的吸附
- 2025-09-29活性炭吸附有机微污染物
- 2025-09-17活性炭去除对羟基苯甲醚
- 2025-09-09活性炭从水溶液中吸附苯酚
- 2025-08-27活性炭从水溶液中分离甲乙酮
- 2025-08-19活性炭对钴离子的吸附与去除
- 2025-07-30活性炭用于强汞的去除
- 2025-07-23活性炭超声辅助吸附黄金
- 2025-07-16活性炭载二氧化钛协同去除二氯甲烷
- 2025-07-09活性炭从水中吸附脂多糖
- 2025-07-03活性炭净化铜污染的生物柴油
