电话:13570151199
彩运cy888传真:020-39972520
邮箱:hanyan@hanyancarbon.com
彩运cy888地址:广东省广州市番禺区东环街番禺大道北555号天安总部中心30号楼6层
活性炭彩运cy888是多种工艺中非常重要的多孔材料。活性炭的主要用途是它们用于气相或液相中的污染物的吸附,气体储存 和用作催化剂载体。多孔材料如活性炭通常具有几个物理参数,如表面积和孔隙体积。在这些材料的开发中,满足这些物理性能是非常重要的,因为它们将直接影响材料在其应用中的性能。
活性炭的表面积通常采用BET法测量它在液氮温度(77K)下采用不同压力下的氮气吸附。然后根据BET的表面积由氮气分子的横截面面积,阿伏加德罗数和氮的特定单层容量的乘积确定,其由通过BET提出的等式进一步修改而获得。对于孔体积测定,更常用的方法也使用氮吸附等温线数据。根据在最高相对压力下吸附的氮的量来估计总孔体积,并且使用Dubinin-Radushkevich方程从氮吸附等温线计算微孔体积。7尽管这些方法在多孔材料的表面积和孔体积测定中被更多地用作参考,但是这些方法耗时且需要使用昂贵的设备。
彩运cy888 关于活性炭结构的更多信息可以通过不同吸附物如亚甲基蓝和碘的吸附特性来获得。这些分子的吸附实验很容易和习惯性地完成表征活性炭,目的是获得有关材料吸附能力的信息。根据亚甲基蓝分子的尺寸,它主要吸附在中孔中,但在较大的微孔中也发现一小部分。关于亚甲蓝,碘分子具有较差的尺寸,使其可以渗透到微孔中。这些特征赋予这些分子在活性炭物理结构研究中用作探针的潜力。尽管如此,还没有关于亚甲基蓝和碘值之间的定量关系和活性炭的结构特征的详细研究。
本文的目的是证明活性炭的表面积,微孔体积和总孔体积可以通过碘和亚甲基蓝的数值使用多元回归来估算。考虑到从不同前体制备的几种活性炭样品的数据和从文献中提取的数据,开发了该方法。
测试实验开始:
活性炭样品
多种活性炭样品的表面积,微孔体积,总孔体积,碘值和亚甲蓝数量的数据和实验数据用于方法开发。
亚甲基蓝(MBN)
彩运cy888 亚甲蓝数定义为在1.0g吸附剂上吸附的染料的最大量。在该试验中,10.0毫克活性炭被置于与10.0毫升的不同浓度(10,25,50,100,250,500和1000毫克的L亚甲蓝溶液-1)处理24小时,在室温下(大约25℃)。使用UV / Vis分光光度计(Biosystems SP-2000)在645nm分析亚甲基蓝的剩余浓度。
由各溶液吸附的亚甲基蓝的量由式1计算:

彩运cy888 其中C 0 (mg L -1)是开始时间(t = 0)时亚甲基蓝溶液的浓度,C e(mg L -1)是平衡时亚甲蓝溶液的浓度,V(L)是处理溶液的体积,M(g)是吸附剂的质量。
彩运cy888 为了确定Langmuir模型的亚甲基蓝数,用C e的函数作出q eq曲线。Langmuir参数(q max 和K L)通过最小二乘拟合回归找到。
碘值(IN)
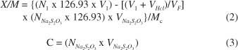
彩运cy888 碘值根据ASTM D4607-94方法测定。碘值定义为当滤液的碘浓度为0.02N(0.02mol L -1)时,被1.0g碳吸附的碘的毫克数。该方法基于三点等温线。标准碘溶液在特定条件下用三种不同重量的活性炭处理。实验包括用10.0mL的5%HCl处理活性炭样品。该混合物煮沸30秒,然后冷却。之后不久,将100.0mL的0.1N(0.1mol L -1)碘溶液加入到混合物中并搅拌30秒。将所得的溶液过滤并50.0毫升滤液滴定用0.1N(0.1摩尔大号-1)硫代硫酸钠,以淀粉为指示剂。每克碳吸附的碘量(X / M)相对滤液(C)中的碘浓度绘制,使用对数轴。如果残留碘浓度(C)不在0.008-0.04 N(0.008-0.04 mol L -1)的范围内,则每个等温点应使用不同的碳质量重复整个过程。对这三点应用最小二乘拟合回归。碘值是残留浓度(C)为0.02N(0.02mol L -1)时的 X / M值。所述X / M和C ^ 值分别由等式2和3计算。

其中N I 是碘溶液的当量浓度,V I是碘溶液的加入量,V HCl是5%HCl的加入体积,V F 是滴定中使用的滤液体积,N Na 2 S 2O 3 是钠硫代硫酸钠溶液正常,V Na 2 S 2 O 3 是硫代硫酸钠溶液的消耗体积,M C 是活性炭的质量。
比表面积
在77K下进行氮吸附实验以使用仪器测定测试样品的比表面积。在吸附测量之前,样品在180℃下放气过夜。采用BET模型拟合氮吸附等温线并评价样品的比表面积。
孔体积
氮吸附等温线数据被用于估计测试样品的孔体积。总孔体积由相对压力为0.98的氮吸附量估算。使用Dubinin-Radushkevich方程从氮吸附等温线计算微孔体积。
多元回归
彩运cy888 KS算法被用于分离校准组和测试组中的样品。该算法根据欧几里德距离选择样本。前两个选取的样本彼此最远。下面的样本是通过与之前选择的样本的距离来选择的。在校准组中进行不同样品量的校准。校准中使用的样本数量被选择来生成显示测试组样本的最小误差的模型。使用最小二乘拟合来获得校准模型,以由亚甲基蓝和碘值确定表面积,总孔体积和微孔体积估计。Matlab软件被用于计算程序。
结果分析:
彩运cy888 最初建立表面图以检查活性炭样品的表面积,总孔体积和微孔体积与亚甲蓝和碘值的关系。使用实验部分中引用的样品的数据构建图(图1S,补充材料)。
在所有情况下,亚甲基蓝和碘的数量都随着表面积和孔体积成比例地增加,表明它们是测定这些性质的有趣的探针。事实上,亚甲基蓝分子的面积15的2.08纳米2,只能在大微孔和中孔进入。5碘分子是具有面积比较小的15 为0.4nm 2,并且可以在更小的微孔进入。五
表面积建模
彩运cy888 为了描述亚甲基蓝和碘的数量相对于表面积的行为,使用二次模型。对于模型开发,Kennard-Stone算法从105个样本中选择了27个样本并用于校准。样品表面积从199到2105 m 2 g -1不等。亚甲基蓝的数量在0到501毫克克每升之间,碘值从155到1670毫克克每升。建模后获得的表面拟合(图1)由公式4描述。


通过这个方程的表面积预测测试了新的样品,考虑了我们获得的文献和数据中的数据,总共78个测试样品。在图2中示出了由等式4预测的值与实验获得的BET值之间的比较。

彩运cy888 观察到的值之间有良好的相关性,表明该模型具有良好的预测能力。对于测试样品中观察到的平均绝对误差为77.8米2 克-1,平均相对误差为11.8%。表1给出了模型的统计参数。

据报道,碘值可以通过每吸附1mg碘的表面积1m 2之间的关系来提供活性炭彩运cy888表面积的方法。25这个考虑是在这项工作中使用的数据完成的,但是获得的误差显着高于使用等式4估算表面积时观察到的误差。只考虑碘值也可以得到最小二乘法拟合,但误差仍高于使用公式4时得到的误差。因此,碘值和亚甲基蓝值对于活性炭的表面积估算是重要的,因为这些材料具有不同的孔径,可以根据孔隙几何结构由不同的分子获得。
微孔体积建模
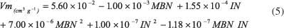
彩运cy888 也使用二次模型将微孔体积描述为亚甲蓝和碘值的函数。该模型在总共50个样本的帮助下构建,其中从KS算法中选择了14个样本进行校准。校准范围为0.05至0.99cm 3 g -1。从2至427毫克克变化亚甲蓝号-1和碘号码变化从195至1670毫克克-1。建模导致表面拟合(图3),由公式5描述:


彩运cy888 这个方程适用于微孔体积预测,用包含文献中的数据和由我们获得的数据的测试样品进行评估。共测试了36个样本。图形比较(图4)表明该模型具有良好的预测能力。该试验样品组的平均绝对误差为0.05cm 3 g -1,平均相对误差为16.4%。表2给出了模型的统计参数。


彩运cy888 由于微孔由于其尺寸而优先被碘分子存取,所以碘值也通过最小二乘回归与微孔体积直接相关。然而,所获得的误差要高于考虑亚甲蓝和碘值时的误差。这表明亚甲蓝在微孔体积预测中有一定贡献,可能是由于在较大微孔中的吸附。
总孔体积建模
彩运cy888 通过线性模型建立亚甲蓝和碘值与总孔容的关系。使用由Kennard-Stone算法从39中选择的10个样本对表面进行建模(图5)。

彩运cy888 校准范围被认为是从0.09到1.11 cm 3 g -1。碘号码变化从195至1294毫克克-1和2至427毫克克改变的亚甲基蓝的数字-1。公式6描述了该模型:

彩运cy888 将29个样品的测试组用于测试该总体孔体积预测的方程。根据图6所示的图表,预测值和参考值之间有很好的一致性。观察到0.04cm 3 g -1的平均绝对误差和13.4%的平均相对误差。表3给出了模型的统计参数。


在本文中,我们已经展示了如何使用碘值和亚甲蓝数量来估算活性炭样品的表面积,微孔体积和总孔体积。用于测定碘和亚甲蓝数量的程序相对便宜和简单,并且不需要使用复杂的设备。此外,所开发的方法允许从亚甲基蓝和碘吸附研究中提取比通常使用这种类型的材料更多的信息。虽然这种方法不能代替活性炭的质地特性的适当表征,但对于没有气体吸附实验设备的实验室来说,这是非常有价值的。
文章标签:椰壳活性炭,果壳活性炭,煤质活性炭,木质活性炭,蜂窝活性炭,净水活性炭.推荐资讯
- 2025-10-21活性炭从碱性甘氨酸溶液中吸附铂
- 2025-10-10活性炭金属改性对氢的吸附
- 2025-09-29活性炭吸附有机微污染物
- 2025-09-17活性炭去除对羟基苯甲醚
- 2025-09-09活性炭从水溶液中吸附苯酚
- 2025-08-27活性炭从水溶液中分离甲乙酮
- 2025-08-19活性炭对钴离子的吸附与去除
- 2025-07-30活性炭用于强汞的去除
- 2025-07-23活性炭超声辅助吸附黄金
- 2025-07-16活性炭载二氧化钛协同去除二氯甲烷
- 2025-07-09活性炭从水中吸附脂多糖
- 2025-07-03活性炭净化铜污染的生物柴油
