电话:13570151199
传真:020-39972520
彩运cy888邮箱:hanyan@hanyancarbon.com
彩运cy888地址:广东省广州市番禺区东环街番禺大道北555号天安总部中心30号楼6层
活性炭用来分离与吸附二氧化碳
活性炭气体吸附是工业中用于分离和净化目的的常用方法之一,例如空气净化、碳氢化合物处理以及捕获和储存。在气候变化和全球变暖问题的推动下,需要对二氧化碳的分离、净化以及捕获和储存进行研究。这些研究包括对使用活性炭吸附二氧化碳(CO2)、甲烷(CH4)、氮气(N2)及其混合物。关于气体混合物中吸附物优先吸附的信息对于优化活性炭捕获、分离和净化性能至关重要,这也是本次研究的意义所在。
吸附分离模拟系统
活性炭的孔隙结构是由随机堆叠的微晶组成,碳堆之间的密闭空间趋于楔形。以前的研究还表明,楔形孔是表示活性炭不均匀性的更现实的模型。在这项工作中,评估了二元混合物在楔形孔中的吸附行为,并与实验数据和预测值进行了比较。本次使用的两个模拟系统是均匀狭缝孔和楔形孔。相应的示意图如图1所示。

图1:两个模拟系统的示意图:(a)狭缝孔和(b)楔形孔。
狭缝孔由半有限狭缝孔由两个平行的石墨壁组成。每个壁包含三个石墨烯层,如图1(a)所示。框的虚线表示模拟框在y和z方向上的边界。周期性边界条件仅适用于x方向。两个开口端与大块气藏相连,每个气藏沿y轴的长度为3nm,孔隙宽度决定了z方向的尺寸。因此,通过孔内分子与体相的相互作用,可以在孔和周围环境之间保持机械平衡。孔径H是指通过一个壁最内层中碳原子中心的平面与相对壁的相应平面之间的距离。楔形孔在图1(b)描绘了一个开放的楔形孔及其结构参数:小端(SH)和大端(BH)的孔径,轴向孔长(L)和半角(α)。框的虚线表示模拟框在y和z方向上的边界。与狭缝孔一样,开口端周围的气体沿y轴的长度为3nm,大端的宽度决定了z方向的尺寸。沿轴向(即,y方向)的孔长度是有限的L,而在x方向上的尺寸在应用周期性边界条件的情况下假定为无限。
纯气体吸附
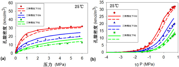
彩运cy888 N2、CH4和CO2在活性炭上的吸附等温线在T =25℃和高达6MPa的压力下如图2所示。为纯气体提供了I类等温线。在环境温度下,活性炭对二氧化碳的吸附优先于CH4,然后在N2压力范围内具有更高的吸附密度。楔形孔很好地预测了N2、CO2和CH4在25℃时的实验数据,如图2所示(b)。如图2所示,狭缝孔的组合与CO2在25℃的实验数据非常吻合。模拟等温线和实验数据显示了连续的孔隙填充机制。如图2所示,楔形孔对N2、CH4和CO2的吸附量少于狭缝孔。CH4和N2等温线的行为类似于CO2等温线的行为。由于与活性炭的相互作用较弱,CH4和N2的吸附量小于CO2。

图2:纯气体N2、CH4和CO2在T=25℃时在活性炭上的实验数据。用狭缝和楔形孔中的吸附等温线预测数据:(a)绝对压力和(b)对数标度的绝对压力。
混合气体吸附分离
对于二元吸附,压力范围为93kPa至6.077MPa。气体混合物的实验在T =25℃和压力下,吸附量与气体组成的函数关系如图3所示。25℃的实验数据显示了活性炭的吸附量。然后在狭缝孔、楔形孔之间比较结果。可以对活性炭进行类似的讨论。总吸附量随CO2组成而增加,同时吸附CH4的量减少,这意味着CO2的吸附位竞争和优先吸附CH4。CO2具有比CH4更高的沸点,并且更可能表现为可冷凝水蒸气,而CH4表现为超临界气体。与CH4相比,CO2的这种较小的挥发性增加了其对活性炭的吸附偏好。

图3:混合气体在T=25℃在狭缝孔、楔形孔中的吸附等温线 和理想吸附在93kPa至6.077MPa的压力范围内的预测值,以及从它们的混合物中吸附的CO2和CH4。
活性炭模拟吸附细节
活性炭在吸附模拟细节中发现,温度升高会导致选择性降低。然而,选择性随着气体混合物中二氧化碳的部分负载、压力和CO2摩尔分数的增加而增加。在活性炭上的大部分CO2负载下可以清楚地看到高选择性。CH4气体在含有CO2的气体混合物中具有低选择性。原因是它在活性炭表面的分子间作用力比碳表面与CO2之间的分子间作用力弱分子。用模型计算和狭缝和楔形孔中的分子模拟也预测了选择性。如图4所示,在T=0和25℃,压力高达1MPa时的计算结果和实验数据。一般来说,狭缝和楔形孔可以在吸附分子之间相互作用至关重要的条件下,对气体混合物的选择性进行令人满意的预测。模型无法预测选择性,因为它没有考虑吸附分子之间的相互作用。

彩运cy888 图4:在T =(a)0℃和(b)25℃时,在大约20%的二氧化碳在活性炭孔隙呢,CO2对CH4的选择性与实验数据。
活性炭用来分离与吸附二氧化碳,使用模拟纯CO2、CH4、N2及其二元混合物的吸附等温线,同时考虑均匀狭缝孔和楔形孔模型,以模拟真实的活性炭。使用所选活性炭的0和25℃的实验数据对模拟结果进行了评估,并与以前的方法预测进行了比较。这项工作讨论了对活性吸附位点的竞争以及由于更高的亲和力,CO2相对于CH4的优先吸附。活性炭表示对CO2比CH4有更高的吸附量和选择性,狭缝和楔形孔中的分子模拟可以很好地预测选择性。
文章标签:椰壳活性炭,果壳活性炭,煤质活性炭,木质活性炭,蜂窝活性炭,净水活性炭.推荐资讯
- 2025-10-21活性炭从碱性甘氨酸溶液中吸附铂
- 2025-10-10活性炭金属改性对氢的吸附
- 2025-09-29活性炭吸附有机微污染物
- 2025-09-17活性炭去除对羟基苯甲醚
- 2025-09-09活性炭从水溶液中吸附苯酚
- 2025-08-27活性炭从水溶液中分离甲乙酮
- 2025-08-19活性炭对钴离子的吸附与去除
- 2025-07-30活性炭用于强汞的去除
- 2025-07-23活性炭超声辅助吸附黄金
- 2025-07-16活性炭载二氧化钛协同去除二氯甲烷
- 2025-07-09活性炭从水中吸附脂多糖
- 2025-07-03活性炭净化铜污染的生物柴油
