电话:13570151199
彩运cy888传真:020-39972520
彩运cy888邮箱:hanyan@hanyancarbon.com
地址:广东省广州市番禺区东环街番禺大道北555号天安总部中心30号楼6层
三聚氰胺在活性炭上的吸附,活性炭的质地和表面会对吸附产生什么影响?
彩运cy888 三聚氰胺被广泛用于木质产品的生产中,其作用包括在饰面贴纸,涂料,粘合剂和阻燃剂中的用途。其更广泛的应用还包括在混凝土,以及纸张和纺织材料上的增塑剂。主要使用比较频繁并且三聚氰胺及其分解产物可能会污染水和土壤,所以需要在环境中去除它。本次我们将对三种具有三种不同表面积,孔径分布和氧含量的活性炭来吸附三聚氰胺进行比较研究。专门致力于使用气体吸附实验,以全面了解三聚氰胺的吸附过程以及活性炭之间的差异。根据分子的大小和活性炭的表面积计算吸附物分子的理论。
三聚氰胺吸附测定方法
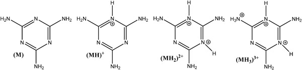
优化了活性炭的用量和三聚氰胺溶液浓度范围的影响,以实现定量分析吸附前后,以及这些研究中使用的所有活性炭中三聚氰胺的最佳条件。最初的实验涉及不同的吸附剂剂量,以及用于吸附物检测和定量的多种方法。通过考虑三聚氰胺在水中的溶解度(酸性和碱性条件)以及吸附实验前后溶液中的可测量水平来选择三聚氰胺溶液的浓度范围。由于三聚氰胺(M)是碱,因此它可以在水溶液中经历几次酸/碱平衡反应并形成不同的质子化物质(见图1)。

图1 :三聚氰胺使水溶液中的物质质子化。
活性炭对三聚氰胺的吸附
吸附环境在30°C的碱性(0.1 M NaOH)和酸性(0.1 M HCl)介质条件下,三种活性炭对三聚氰胺的吸附。显然,在相似的平衡浓度下,碱性介质中三聚氰胺的吸附比酸性溶液中的吸附明显更有利,并且它也强烈依赖于吸附剂材料的表面积。对三聚氰胺在水中高度定向的热解石墨上的吸附表明,由于胺基团的存在,三聚氰胺通过与三聚氰胺分子之间的氢键与碳底物和其他三聚氰胺分子相互作用,可以形成组织良好的分子排列(氢供体)和中心环的N原子(氢受体)。三聚氰胺分子在形成六边形多孔超分子网络之前被单独吸附或通过二聚体吸附。这些结果解释了为什么在酸性和碱性介质中的吸附差异很大。在酸性介质中,质子化的三聚氰胺分子之间以及三聚氰胺与活性炭之间的相互作用可能不太有利,从而导致非常低的吸附值。

彩运cy888 图2:三聚氰胺在30°C下在三种活性炭的吸附等温线,通过活性炭表面积标准化。
彩运cy888 另一方面,在碱性介质中,中孔和大孔活性炭在低浓度下显示出更高的三聚氰胺吸收。尽管这不能用来确定等温线,但这可能表明在低浓度下活性炭的吸附效果较差,这可能是由于该材料的微孔结构所致。
在活性炭上吸附三聚氰胺的测试中发现。在碱性溶液中,活性炭吸附量显着增加,这仅是由于未质子化的三聚氰胺可以更好地与活性炭相互作用,而且在相邻的三聚氰胺分子之间形成HN=H氢键。也可能通过降低pH值从活性炭中释放出吸附的三聚氰胺,从而根据需要释放出吸附的物质。可以见得活性炭从溶液中去除三聚氰胺是可行的。如果您还有什么不太懂的地方可以直接咨询我们,我们可以给您提供技术支持。
文章标签:椰壳活性炭,果壳活性炭,煤质活性炭,木质活性炭,蜂窝活性炭,净水活性炭.推荐资讯
- 2025-10-21活性炭从碱性甘氨酸溶液中吸附铂
- 2025-10-10活性炭金属改性对氢的吸附
- 2025-09-29活性炭吸附有机微污染物
- 2025-09-17活性炭去除对羟基苯甲醚
- 2025-09-09活性炭从水溶液中吸附苯酚
- 2025-08-27活性炭从水溶液中分离甲乙酮
- 2025-08-19活性炭对钴离子的吸附与去除
- 2025-07-30活性炭用于强汞的去除
- 2025-07-23活性炭超声辅助吸附黄金
- 2025-07-16活性炭载二氧化钛协同去除二氯甲烷
- 2025-07-09活性炭从水中吸附脂多糖
- 2025-07-03活性炭净化铜污染的生物柴油
