彩运cy888电话:13570151199
传真:020-39972520
邮箱:hanyan@hanyancarbon.com
彩运cy888地址:广东省广州市番禺区东环街番禺大道北555号天安总部中心30号楼6层
彩运cy888 水培法是一种可持续的农业系统,在共生环境中将水产养殖和水培法相结合。鱼菜共生技术可以优化农业土地的利用,从而提高农作物的生产力。在水产养殖中,鱼和饲料排泄的结果通常会积聚在水中,从而影响水质。然而,在鱼菜共生系统中,剩余的饲料和鱼排泄的结果将被用作植物的肥料(达到零浪费)。如果我们利用活性炭过滤水中鱼类积累的杂质和污染,就可以降低鱼类生存会影响水质的情况。我们测试了由活性炭制成的水培系统。而活性炭在水净化中充当吸收剂,催化剂和过滤器,并能够吸收阴离子,阳离子以及溶液或气体形式的有机和无机化合物分子。
活性炭是一种能够在溶液或气体形式吸收阴离子,阳离子以及有机和无机化合物分子的碳。此外,活性炭还可以用作水净化中的吸收剂,催化剂和过滤器,并且可以消除水的颜色和气味。活性炭作为种植介质的优势在于,它对溶液,气体中的阴离子,阳离子以及有机和无机化合物形式的分子均具有良好的吸收能力。此外,活性炭还可以吸收水和土壤中的农药残留,增加土壤肥力并防止由微生物引起的根腐病的发生。
活性炭水培培养基的制备
彩运cy888 通过使用潮汐系统,将植物容器放置在鱼池顶部来设计鱼菜共生。装有活性炭的生物滤池,其厚度根据处理的不同而不同。此外,池中管道的末端与泵相连,以将水吸入植物维护容器。水按照再循环原理流动,因此,养鱼过程中产生的废水进入水稻植株的维护容器中,并在养鱼过程中作为水源再利用。
水稻种子向水培法培养基的转移
彩运cy888 使用播种盒进行种子播种,首先将地面磨平,然后将种子均匀地撒在准备好的育苗盒上。7天后,将水稻幼苗从幼苗培养基转移到制备的水培法培养基中。对于大小为50x50厘米的水培法培养基,种植了25株水稻幼苗。
鱼向水培法培养基的转移
彩运cy888 使用的鱼是罗非鱼,重10-15克/头,密度为50尾/平方米。将罗非鱼适应2周后再与植物整合。
植物和鱼类的维护
鱼和米的维持期为90天,因此在一个鱼维持周期中获得了一个稻维持周期。每天两次喂鱼。所给的饲料是蛋白质含量约为30%的小丸形式。在水稻植物的维护过程中,没有进行特殊处理,仅进行了常规监测,以使水稻植物避免害虫和天敌。
活性炭处理与测试
在这项研究中应用了五种处理方法。处理的变化为P0(作为对照),P1=1.5cm活性炭,P2=3cm活性炭,P3=4.5cm活性炭和P4=6cm活性炭。处理后使用水质检查器测量水质,例如温度,溶解氧(DO)和pH。氨气测试套件用于测量氨气含量。
活性炭水培系统测试结果
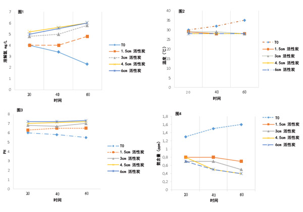
彩运cy888 经过对使用活性炭过滤器的共养系统对罗非鱼进行维护的水质参数值,活性炭水培时间为60天,测量结果表明,维护期间的水质参数倾向于处于适合罗非鱼生长的条件。下图1、2、3、4显示了在20、40和60天龄时测得的水质参数:

这些数字表明,与使用活性炭过滤器的鱼菜共生系统的对照组相比,处理P1,P2,P3和P4倾向于在罗非鱼生长的合适范围内。它是由表面上有大孔的活性炭引起的,因此它在吸收导致浑浊的化合物(悬浮的有机物和小颗粒)的过程中有效发挥了作用。活性炭主要由具有良好吸收能力的游离碳组成,因此可以保持水质。
图1显示与对照相比,处理P1,P2,P3和P4中的溶解氧含量持续增加。这是由于以下事实引起的:活性炭充当过滤器,可以增加氧气的扩散,从而增加溶解在水中的氧气含量。在这种情况下,使用生物滤池作为其底物的再循环可以充当氧气和水扩散的场所。它还具有可以增加水中氧气的空间或孔,其溶解氧含量为6.5-8.5 mg。除此之外,它还受温度影响,温度越低(图2),罗非鱼的耗氧量就减少,从而使水中的溶解氧水平增加。
图2表明,在共生系统中使用活性炭作为水质的过滤介质,使水温处于罗非鱼生长的合适范围。这导致鱼的摄食活动增加因此罗非鱼的生长更快。图3表明,处理P3和P4中水的pH倾向于不波动。但是在处理P0(对照)中,罗非鱼维持过程中水的pH值降低了。氨含量影响水的pH值降低,氨含量越高,水的pH值越低。活性炭是一种能够以溶液或气体形式吸收阴离子,阳离子以及有机和无机化合物分子的碳。另外,活性炭还可以用作水净化中的吸收剂,催化剂和过滤器。它可以去除水的颜色和气味,并中和水的pH值。
彩运cy888 图4显示,由于有机物的积累(残留饲料和残留罗非鱼新陈代谢增加),处理P0,P1和P2中的氨含量继续增加。在处理P3和P4时,氨的含量没有波动。这是因为活性炭能够通过直接从孔中氧化或吸收来清除溶解的有机分子,从而结合到溶解的材料上。
这项研究的结果发现,在鱼菜共生系统(米鱼)中使用活性炭可以维持60天的水质。鱼类和水稻生长的合适水质为处理P3(活性炭厚度为4.5厘米)和处理P4(活性炭厚度为6厘米)。不过建议要定期更换活性炭来保持对水质的过滤来维持水培系统。
文章标签:椰壳活性炭,果壳活性炭,煤质活性炭,木质活性炭,蜂窝活性炭,净水活性炭.推荐资讯
- 2025-10-21活性炭从碱性甘氨酸溶液中吸附铂
- 2025-10-10活性炭金属改性对氢的吸附
- 2025-09-29活性炭吸附有机微污染物
- 2025-09-17活性炭去除对羟基苯甲醚
- 2025-09-09活性炭从水溶液中吸附苯酚
- 2025-08-27活性炭从水溶液中分离甲乙酮
- 2025-08-19活性炭对钴离子的吸附与去除
- 2025-07-30活性炭用于强汞的去除
- 2025-07-23活性炭超声辅助吸附黄金
- 2025-07-16活性炭载二氧化钛协同去除二氯甲烷
- 2025-07-09活性炭从水中吸附脂多糖
- 2025-07-03活性炭净化铜污染的生物柴油
