彩运cy888电话:13570151199
传真:020-39972520
彩运cy888邮箱:hanyan@hanyancarbon.com
地址:广东省广州市番禺区东环街番禺大道北555号天安总部中心30号楼6层
彩运cy888 聚对苯二甲酸乙二酯(PET)是必不可少的材料,因为它是应用于食品包装,电线和医疗工具等各个领域的塑料的主要成分。特别是,PET主要在单一服务领域中用作水和碳酸软饮料的容器。但是聚对苯二甲酸乙二醇酯的热解过程会产生对人体健康和环境有害的多环烃和联苯衍生物。因此,使用钯金属催化剂在活性炭上负载以防止有害物质的形成。本次的研究我们在PET废料的热解过程中使用了活性炭负载的钯催化剂,以减少由热分解反应产生的多环烃和联苯衍生物。
活性炭载钯催化剂材质分析
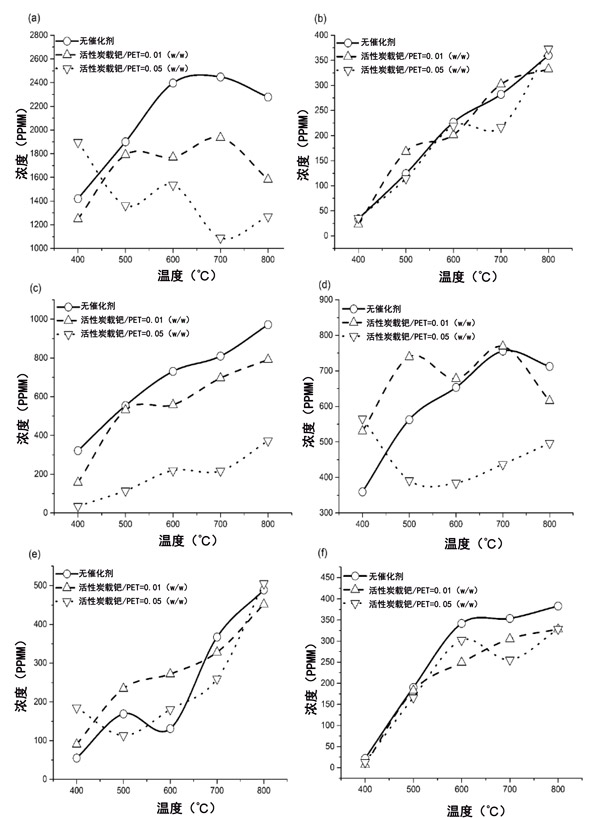
活性炭载钯催化剂的高表面积归因于活性炭载体。尽管金属负载量为5 wt%,高表面积仍可实现高钯分散度(42%)。已知活性炭具有很高的热稳定性,因此在热解过程中大部分保留了活性炭的孔隙率。图1显示了在有和没有钯催化剂的情况下,由PET热解获得的多环烃和联苯衍生物的浓度比较。使用不同的活性炭载钯催化剂/PET比确定热解过程中催化剂的作用。随着热解温度的升高,三种类型的多环烃(2-萘甲酸,芴酮和三亚苯基)的浓度增加,这是因为环化反应在较高温度下更有利地形成了苯环。

图1:在有和没有活性炭载钯催化剂的条件下,聚对苯二甲酸乙二醇酯(PET)的热解得到的联苯衍生物浓度的类型。(a)2-萘甲酸,(b)芴酮,(c)三亚苯基,(d)联苯基-4-羧酸,(e) -三苯基和(f)邻-三苯基。
聚对苯二甲酸乙二酯的热解
与在热解过程中活性炭催化剂/PET比为0.01的非催化剂相比,三种类型的联苯衍生物联苯-4-羧酸,对叔苯基和联苯之间的浓度没有有意义的差异。这意味着少量的活性炭催化剂不会影响多环烃以及PET热解过程中生成的联苯衍生物的数量。但是,当我们研究非催化剂与活性炭催化剂/PET比率0.05之间的差异时,与在800°C时不进行催化热解相比,生成的联苯-4-羧酸浓度降低了79%。此外,小约59%的三联苯,制作和p与不使用催化剂的PET在700°C时的热解相比,与人体健康有关的-叔苯基减少了约30%。这些结果清楚地表明,以0.05的活性炭催化剂/PET比进行的热解在高温下造成环结构形成中断。
在活性炭载钯催化的PET热解过程中,开环反应可能通过C–C键断裂在单官能钯位点发生。根据先前的研究,活性炭载钯催化剂可以通过三种机制将开环反应进行开环,在该机制中,钯原子与有机化合物结合并倒置。取决于反应条件和底物,钯金属会在环结构中保留或反转。这种现象会导致环结构的重排,并使与钯结合的活性炭发生明显的反转。烃类热裂解过程中也会发生自由基反应。高分子(例如多环烃和联苯衍生物)通过溶血裂解反应(通过热能)裂解,产生自由基和阳离子。产生的自由基与其他稳定分子反应,生成新的自由基和更多的自由基。最后,大量的自由基相互反应形成稳定的分子。钯金属催化剂加速了热自由基机理。联苯-4-羧酸经自由基热裂解生成苯并与苯甲酸生成苯,通过氢原子转移产生苯甲酸裂解的CC键。这种机理与环结构公式相反。多环化合物还可以生产低碳氢化合物。例如,三亚苯基转化为具有自由基的苯和具有自由基的联苯,其通过热裂解进一步裂解形成含苯的自由基。在制备更瘦的结构之前,通过氢化从含苯的自由基获得环己烷。所得的环己烷经开环反应并氢化,得到己烷。因此,通过裂解和重组产生了氢气和低碳氢化合物。因此,在高温(例如,>600°C)下,基于活性炭载钯催化热解比非催化热解产生更少的焦炭和更多的CH键。正如看到的图2中,我们可以发现,胺类物质也与多环烃和联苯衍生物类似地降低。PET由碳,氢和氧组成。氮原子可能是在惰性N 2气氛中没有氧气或水的情况下热解产生的。

图2:在有和没有活性炭载钯催化剂的条件下,聚对苯二甲酸乙二酯热解过程中总胺衍生物的浓度随温度的变化。
热解产物分析
多环化合物可以通过可通过PET分解产生的两种主要中间体产生:对苯二甲酸和含苯甲酸的自由基。对苯二甲酸通过热裂解转化为带有自由基的二氧化碳,乙烯和苯。特别是,附连到苯环的基团是选自的C-C键的均裂生成。这些自由基之一与苯反应生成带有自由基的联苯,剩余的自由基与其他苯反应生成两种类型的三联苯(对三联苯基和邻三联苯基)。在这里,Ô-叔苯基可以通过脱氢进一步转化为三苯基。含有自由基的苯甲酸具有两个转化途径。当苯甲酸通过氢化反应与苯反应时,会生成联苯-2-羧酸。通过异构化,联苯-2-羧酸可以变成联苯-4-羧酸。此外,联苯-2-羧酸可以通过热诱导缩合转化为芴酮。另一途径是从具有自由基的苯甲酸生成2-萘甲酚酸。为了生产2-萘甲酸,从对苯二甲酸获得的乙烯和乙炔与具有自由基的苯反应。苯甲酸中的自由基与碳原子的反应乙烯通过脱氢生成的2 H 3产生4-乙烯基苯甲酸。可以通过减去氢原子获得其他自由基。产物4-乙烯基苯甲酸具有一个自由基并与乙炔同步生成带有自由基的3,4-二乙烯基苯甲酸。
彩运cy888 图3比较了在800°C下有活性炭催化剂/PET之比为0.05)催化剂和没有任何催化剂的情况下PET热解的质量平衡。在除400°C以外的所有温度下,它都显示出类似的趋势,可产生更多的固体和气体,并减少液体的产生。特别是,最大效果出现在800°C。这是因为高温热解促进自由基机理和热裂解,并且Pd催化剂可以帮助加速催化剂部位的开环反应。结果表明,使用活性炭催化剂/PET比率为0.05催化剂对PET进行热解可加速热解油向热解气体(如CO,CH 4和H 2)的转变。这是因为活性炭载钯催化剂使碳分布从热解油转移到热解气体。这些机制可以帮助改善吸热过程(例如热解),因为热解气体是可燃的。结果,使用适量的活性炭载钯催化剂将提高废塑料处理过程中的热效率。

图3:比较在800°C下有活性炭载钯催化剂和没有催化剂的情况下PET热解的质量平衡。
这项研究对含或不含钯的活性炭催化剂的实际PET废料(即一次性杯子和饮料瓶)进行了热解。热解过程中形成的有害物质(如多环烃和苯衍生物)的形成进行抑制。因此,在该反应中使用了活性炭载钯催化剂。将活性炭载钯催化剂/PET之比设定为0.01和0.05(重量基准),以根据钯的量确定对有害物质形成的影响。结果表明,活性炭载钯催化剂/ PET比率为0.01催化的PET热解在多环烃和苯衍生物的数量上没有显着差异。然而,活性炭载钯催化剂/PET比率为0.05催化的PET热解表明了这些之间的显着差异。这意味着适量的活性炭载钯催化剂抑制了热解过程中多环烃和苯衍生物的形成。该现象是通过自由基机理和开环反应来进行的。另外,活性炭负载钯催化剂越多,产生的胺种类就越少。所有这些结果均在高于400°C的温度下显示。结论是,这项研究可以用于PET和其他塑料与金属催化剂(例如Pd催化剂)的热解,以环保的方式改善塑料废物的处置。
文章标签:椰壳活性炭,果壳活性炭,煤质活性炭,木质活性炭,蜂窝活性炭,净水活性炭.推荐资讯
- 2025-10-21活性炭从碱性甘氨酸溶液中吸附铂
- 2025-10-10活性炭金属改性对氢的吸附
- 2025-09-29活性炭吸附有机微污染物
- 2025-09-17活性炭去除对羟基苯甲醚
- 2025-09-09活性炭从水溶液中吸附苯酚
- 2025-08-27活性炭从水溶液中分离甲乙酮
- 2025-08-19活性炭对钴离子的吸附与去除
- 2025-07-30活性炭用于强汞的去除
- 2025-07-23活性炭超声辅助吸附黄金
- 2025-07-16活性炭载二氧化钛协同去除二氯甲烷
- 2025-07-09活性炭从水中吸附脂多糖
- 2025-07-03活性炭净化铜污染的生物柴油
