电话:13570151199
彩运cy888传真:020-39972520
邮箱:hanyan@hanyancarbon.com
彩运cy888地址:广东省广州市番禺区东环街番禺大道北555号天安总部中心30号楼6层
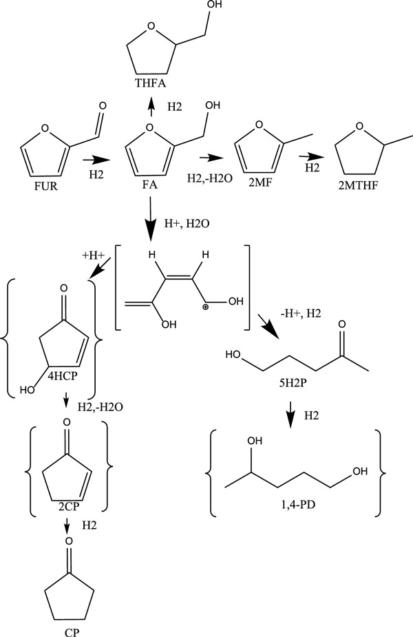
彩运cy888 糠醛的氢化可产生一系列有价值的升级产品,例如糠醇(呋喃树脂的重要单体),四氢糠醇(用于农业,清洁,涂料和脱漆剂的溶剂),2-甲基四氢呋喃和2-甲基呋喃(有望替代燃料)和环戊酮(航空燃料,橡胶化学品的前体)。所以糠醛在气相和液相中的氢化反应需要重点研究。活性炭通常用作催化加氢的载体,因为它可以从可再生碳源合成,并且在酸性,碱性和水性环境中稳定。间歇式淤浆反应器通常使用粉末活性炭,滴流床反应器通常使用颗粒活性炭,但这些形式难以用于连续加工。因为相对于批处理工艺,它可以降低成本。粉末活性炭容易损耗,难以连续回收和再利用。滴流床系统中的高流速会导致较大的压降,并且H 2如果使用大颗粒尺寸来最大程度地减小压降,则内部和外部的传质可能会受到限制。形成为载体的整料中的活性炭可以克服在连续加工中使用粉末和颗粒形式的问题。
本次研究与传统的粒状和粉末状的活性炭相比,着重于使用金属负载的活性炭整体催化剂对糠醛进行连续水相加氢。源自木质生物质的活性炭整料催化剂浸渍有贵金属,并用于糠醛加氢反应。使用活性炭催化剂的优势在于其低压降,高传质速率,高表面积/体积比和易于放大的优点是,整料是由可再生碳源制成的,并且它们是在水/酸/碱反应介质中高度稳定。使用活性炭整体催化剂在水性和酸性环境中进行连续糠醛加氢,以及低金属负载量以实现高转化率和时空产率,且浸出受限。尽管活性炭整料具有作为催化剂载体的独特优点,但是关于使用这些结构化催化剂的信息很少,突出了它们的优点。
活性炭的催化反应
彩运cy888 糠醛氢化反应在连续反应器系统中进行。液体和气体向下流经不锈钢管(内径为1),并同时流经T型接头。气体流速由智能质量流量控制器控制。使泵将液体原料泵入反应器。将液体产物收集在不锈钢容器中,该不锈钢容器的冷却套连接至7°C的水淋间。反应器温度由瓦特炉和功率控制器控制。使用背压调节器控制反应堆压力。将活性炭整体式催化剂的核(4个核)包裹在特氟龙带中,并装入反应器的中心。这四个活性炭芯的包装高度为4英寸(10厘米),总重量为15 g。为了确定连续反应器系统中糠醛加氢的合适条件,在120至180°C的温度,300 psi(0.1–2.1 MPa)的大气压和0.5–16 mL/min的液体流速下进行了一系列实验进行。进行反应以确定不同反应参数对活性炭产品分布的影响的顺序如下:(1)测试变化的液体流速,(2)测试变化的压力,(3)测试变化的温度,和(4)乙酸的作用(图1)。

图1:使用活性炭催化剂进行糠醛加氢的生产时间分析,箭头表示将乙酸添加到进料中的实验。
温度和压力影响
由于使用活性炭整料进行糠醛连续氢化以合成糠醇,四氢糠醇和环戊酮的工作很少,我们希望确定温度和压力对选择性和时空产率或转化率的影响。因此,在一组实验中,采用活性炭催化剂来确定温度对糠醛氢化的影响。在所有温度下,活性炭整料的糠醛转化率均高于90%。活性炭整料的高碳封闭率是在180°C时达到的(约90%)。升高温度会降低糠醇的选择性,并提高除四氢糠醇以外的所有产品的选择性(图2)。

图2:反应温度对产物选择性的影响。
液时空速效应
彩运cy888 在下一组实验中,确定了液体停留时间对糠醛加氢超过0.8%活性炭催化剂的影响(H 2气流保持恒定在100 mL/min)。糠醛转化率随着液时空速的增加或停留时间的缩短而下降,碳封闭率在74%至100%之间。温度,压力和液体停留时间效应研究的结果表明,活性炭催化剂主要通过糠醛促进了糠醛中糠醇和2-甲基呋喃的形成,并通过推测性反应途径促进了环戊酮和5-羟基-2-戊酮的少量形成,需要对酮进行酸催化)形成(图3)。

图3:在活性炭催化剂上使用钯进行糠醛加氢。
活性炭钯负载的效应
在具有多种产物的反应和副反应中,活性金属颗粒的大小会影响产物的选择性。过去使用钯催化剂进行糠醛加氢的研究表明,产物分布可通过粒径控制,产物选择性的差异可归因于金属分散。考虑到钯粒径可能影响产物选择性的可能性,制备了一系列具有较高钯含量,较低分散度和较大粒径的催化剂。最初,人们考虑通过增加H 2还原温度来改变钯的粒径,并期望分散性的降低和粒径的增加。但是,随着H 2的增加,一系列的CO脉冲滴定还原温度对活性炭上0.8 wt%钯的影响很小,除了在高于350°C的温度下。因此,决定在250°C下增加钯的负载量并减少H 2。这些催化剂是通过将基础活性炭载体压碎并通过湿法浸渍负载钯制备的。活性炭增加钯的负载量确实会减少表面积,孔体积和金属分散度。但是反应速率随钯载量的增加而增加。
彩运cy888 活性炭上的钯对糠醇,四氢糠醇和2-甲基呋喃表现出较高的选择性,导致这些产品的时空产率高,同时金属浸出和活性损失的百分率低,这使得该催化剂有希望替代普通的活性炭催化剂。活性炭整料没有表现出对氢的外部传质阻力,这导致其较低的焦化水平。反应介质中乙酸的存在不会影响使用钯载活性炭催化剂的糠醛转化率,这表明钯载活性炭可用于处理粗糠醛。
文章标签:椰壳活性炭,果壳活性炭,煤质活性炭,木质活性炭,蜂窝活性炭,净水活性炭.推荐资讯
- 2025-10-21活性炭从碱性甘氨酸溶液中吸附铂
- 2025-10-10活性炭金属改性对氢的吸附
- 2025-09-29活性炭吸附有机微污染物
- 2025-09-17活性炭去除对羟基苯甲醚
- 2025-09-09活性炭从水溶液中吸附苯酚
- 2025-08-27活性炭从水溶液中分离甲乙酮
- 2025-08-19活性炭对钴离子的吸附与去除
- 2025-07-30活性炭用于强汞的去除
- 2025-07-23活性炭超声辅助吸附黄金
- 2025-07-16活性炭载二氧化钛协同去除二氯甲烷
- 2025-07-09活性炭从水中吸附脂多糖
- 2025-07-03活性炭净化铜污染的生物柴油
